Đề khảo sát Toán (Tin) vào 10 năm 2023 2024 trường chuyên Lam Sơn Thanh Hóa

  • Đề thi vào lớp 10

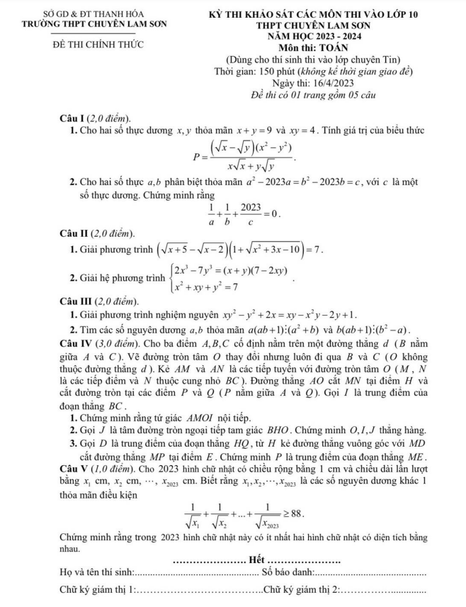
Đề khảo sát Toán (Tin) năm 2023 – 2024 tại trường chuyên Lam Sơn Thanh Hóa

Xin chào quý thầy cô và các em học sinh lớp 9! Dưới đây là nội dung của đề thi khảo sát chất lượng môn Toán (Tin) dành cho việc ôn thi tuyển sinh vào lớp 10 THPT năm học 2023 – 2024 tại trường THPT chuyên Lam Sơn, Thanh Hóa. Đề thi này được thi sinh thi vào lớp 10 chuyên Tin học.

Đề thi sẽ diễn ra vào Chủ Nhật, ngày 16 tháng 04 năm 2023. Đề thi bao gồm đáp án, lời giải chi tiết và hướng dẫn chấm điểm để giúp các em tự tin giải các bài tập một cách chính xác và hiệu quả.

Trích dẫn một số bài toán trong đề thi:

  • Cho ba điểm A, B, C cố định nằm trên một đường thẳng. Vẽ đường tròn đi qua B và C, kẻ tiếp tuyến AM, AN (M, N là tiếp điểm) với đường tròn. Chứng minh rằng trong tam giác ABC, đường thẳng AO cắt đường tròn tại các điểm P và Q.
  • Có 2023 hình chữ nhật có chiều rộng bằng 1 cm và chiều dài lần lượt bằng 1 x cm, 2 x cm, 2023 x cm. Phải chứng minh rằng trong số các hình chữ nhật này có ít nhất hai hình có diện tích bằng nhau.
  • Cho hai số thực a, b phân biệt thỏa mãn a^2 + b^2 = 2023 với c là một số thực dương. Chứng minh rằng a + b + c > 0.

Hy vọng đề thi sẽ giúp các em học sinh lớp 9 chuẩn bị tốt cho kỳ thi tuyển sinh vào lớp 10 và đạt kết quả cao!

Đánh giá bài viết cho thầy/cô vui 

0 / 5 0

Your page rank:

Avatar of Phan Quang
       

Về tác giả : Phan Quang

Giáo viên Toán học xuất sắc, sinh năm 1985 tại Hà Nội. Tốt nghiệp Đại học Sư phạm Hà Nội với bằng cử nhân Toán học, thầy có hơn 10 năm kinh nghiệm giảng dạy cấp 2 và ôn thi vào 10. Năm 2024, thầy sáng lập website daygioi.com – nền tảng giáo dục trực tuyến miễn phí, cung cấp bài giảng video, bài tập tương tác và tài liệu ôn tập cho hàng ngàn học sinh Việt Nam. Với phong cách dạy gần gũi, sáng tạo, thầy luôn khơi dậy niềm đam mê Toán học qua ví dụ đời thường. Được phụ huynh và học sinh yêu mến, thầy là nguồn cảm hứng cho thế hệ giáo viên trẻ.

       

Xem nhiều bài của tác giả : Phan Quang