Đề khảo sát HSG huyện lớp 7 môn Toán năm 2015 2016 phòng GD ĐT Thái Thụy Thái Bình

  • Đề HSG Toán 7

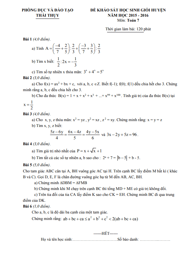
Đề khảo sát HSG huyện lớp 7 môn Toán năm 2015-2016 phòng GD ĐT Thái Thụy Thái Bình

Xin chào quý thầy cô và các em học sinh lớp 7! Hôm nay, Sytu xin giới thiệu đến mọi người đề khảo sát HSG huyện Toán lớp 7 năm 2015-2016 từ phòng GD&ĐT Thái Thụy – Thái Bình. Bộ đề thi này bao gồm các câu hỏi đa dạng và thú vị, cung cấp đáp án và lời giải chi tiết để giúp các em ôn tập hiệu quả.

Để mọi người hiểu rõ hơn về nội dung của đề thi, chúng ta cùng phân tích và giải quyết một số câu hỏi trong đề bài:

Câu 1: Cho tam giác ABC cân tại A, BH vuông góc AC tại H. Trên cạnh BC lấy điểm M bất kì (khác B và C). Gọi D, E, F là chân đường vuông góc hạ từ M đến AB, AC, BH. Ta cần chứng minh ∆DBM = ∆FMB.

Câu 2: Ta cần chứng minh khi M chạy trên cạnh BC thì tổng MD + ME có giá trị không đổi.

Câu 3: Trên tia đối của tia CA lấy điểm K sao cho CK = EH. Chúng ta phải chứng minh BC đi qua trung điểm của DK.

Câu 4: Cho đa thức f(x) = ax2 + bx + c, với a, b, c thuộc Z. Biết f(-1); f(0); f(1) đều chia hết cho 3. Chúng ta cần chứng minh rằng a, b, c đều chia hết cho 3.

Câu 5: Tính giá trị của đa thức B(x) = 1 + x + x2 + x3 + … + x99 + x100 tại x = 1/2.

Đề khảo sát này cung cấp cơ hội cho các em thử sức và rèn luyện kỹ năng giải quyết vấn đề toán học. Hy vọng rằng mọi người sẽ cùng nhau ôn tập và chuẩn bị tốt cho kì thi sắp tới. Chúc các em thành công!

Đánh giá bài viết cho thầy/cô vui 

0 / 5 0

Your page rank:

Avatar of Phan Quang
       

Về tác giả : Phan Quang

Giáo viên Toán học xuất sắc, sinh năm 1985 tại Hà Nội. Tốt nghiệp Đại học Sư phạm Hà Nội với bằng cử nhân Toán học, thầy có hơn 10 năm kinh nghiệm giảng dạy cấp 2 và ôn thi vào 10. Năm 2024, thầy sáng lập website daygioi.com – nền tảng giáo dục trực tuyến miễn phí, cung cấp bài giảng video, bài tập tương tác và tài liệu ôn tập cho hàng ngàn học sinh Việt Nam. Với phong cách dạy gần gũi, sáng tạo, thầy luôn khơi dậy niềm đam mê Toán học qua ví dụ đời thường. Được phụ huynh và học sinh yêu mến, thầy là nguồn cảm hứng cho thế hệ giáo viên trẻ.

       

Xem nhiều bài của tác giả : Phan Quang