Đề khảo sát đội tuyển lớp 11 môn Toán lần 2 năm 2021 2022 trường THPT Trần Phú Vĩnh Phúc

  • Đề HSG Toán 11

Đề khảo sát đội tuyển lớp 11 môn Toán lần 2 năm 2021-2022 trường THPT Trần Phú Vĩnh Phúc

Sytu xin gửi đến quý thầy cô và các em học sinh lớp 11 đề khảo sát đội tuyển học sinh giỏi môn Toán lớp 11 lần 2 năm học 2021-2022 của trường THPT Trần Phú, Vĩnh Phúc. Đề thi bao gồm đáp án, lời giải chi tiết và hướng dẫn chấm điểm.

Trích dẫn một số câu hỏi trong đề khảo sát:

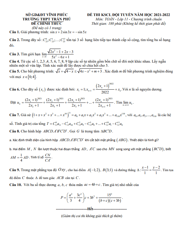
+ Hình hộp ABCD có trọng tâm G trên đoạn BC. Được cắt bởi mặt phẳng ABG, hình hộp ABCD sẽ có thiết diện là hình gì?

+ Điểm M thuộc đoạn thẳng AD và điểm N thuộc đoạn AC sao cho MN song song với mặt phẳng BCĐ và AM = 1/4 AD. Hãy tính tỉ số CN/CA.

+ Tam giác ACB có A(1,2), B(3,1) và nằm trên đường thẳng y = x. Hãy tìm tọa độ điểm C để tam giác ACB là tam giác cân tại C.

+ Trong dãy số 0, 1, 13, 23, 23, 23,… có tồn tại 3 số hạng liên tiếp tạo thành cấp số cộng. Hãy tính tổng của ba số hạng đó.

File WORD đầy đủ có sẵn cho quý thầy, cô để tiện tham khảo và sử dụng. Chúc các em học sinh lớp 11 thực hiện bài thi tốt!

Đánh giá bài viết cho thầy/cô vui 

0 / 5 0

Your page rank:

Avatar of Phan Quang
       

Về tác giả : Phan Quang

Giáo viên Toán học xuất sắc, sinh năm 1985 tại Hà Nội. Tốt nghiệp Đại học Sư phạm Hà Nội với bằng cử nhân Toán học, thầy có hơn 10 năm kinh nghiệm giảng dạy cấp 2 và ôn thi vào 10. Năm 2024, thầy sáng lập website daygioi.com – nền tảng giáo dục trực tuyến miễn phí, cung cấp bài giảng video, bài tập tương tác và tài liệu ôn tập cho hàng ngàn học sinh Việt Nam. Với phong cách dạy gần gũi, sáng tạo, thầy luôn khơi dậy niềm đam mê Toán học qua ví dụ đời thường. Được phụ huynh và học sinh yêu mến, thầy là nguồn cảm hứng cho thế hệ giáo viên trẻ.

       

Xem nhiều bài của tác giả : Phan Quang