Đề khảo sát chất lượng giữa học kì 1 (HK1) lớp 9 môn Toán năm 2018 – 2019 phòng GD và ĐT Hà Đông – Hà Nội

  • Đề giữa HK1 Toán 9

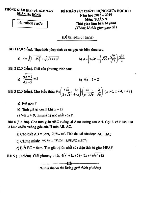
Đề khảo sát chất lượng giữa học kì 1 (HK1) lớp 9 môn Toán năm 2018 – 2019 phòng GD và ĐT Hà Đông – Hà Nội

Sytu xin trân trọng giới thiệu đến quý thầy cô giáo và các em học sinh lớp 9 đề khảo sát chất lượng giữa học kì 1 môn Toán năm 2018 – 2019 của phòng GD và ĐT Hà Đông – Hà Nội. Đề bao gồm 1 trang với 5 bài toán tự luận, thời gian làm bài 90 phút. Mục tiêu của đề kiểm tra kiến thức của học sinh trong giai đoạn giữa học kỳ 1 năm học 2018 – 2019. Kỳ thi sẽ diễn ra vào ngày 18 tháng 10 năm 2018.

Đề khảo sát chất lượng không chỉ giúp học sinh tổng kết kiến thức đã học mà còn giúp thầy cô đánh giá hiệu quả giảng dạy và đánh giá năng lực của học sinh. Chúng ta hãy cùng cố gắng và làm bài thật tốt để đạt được kết quả cao nhất. Chúc các em học sinh lớp 9 thành công trong kỳ thi sắp tới!

Đánh giá bài viết cho thầy/cô vui 

0 / 5 0

Your page rank:

Avatar of Phan Quang
       

Về tác giả : Phan Quang

Giáo viên Toán học xuất sắc, sinh năm 1985 tại Hà Nội. Tốt nghiệp Đại học Sư phạm Hà Nội với bằng cử nhân Toán học, thầy có hơn 10 năm kinh nghiệm giảng dạy cấp 2 và ôn thi vào 10. Năm 2024, thầy sáng lập website daygioi.com – nền tảng giáo dục trực tuyến miễn phí, cung cấp bài giảng video, bài tập tương tác và tài liệu ôn tập cho hàng ngàn học sinh Việt Nam. Với phong cách dạy gần gũi, sáng tạo, thầy luôn khơi dậy niềm đam mê Toán học qua ví dụ đời thường. Được phụ huynh và học sinh yêu mến, thầy là nguồn cảm hứng cho thế hệ giáo viên trẻ.

       

Xem nhiều bài của tác giả : Phan Quang