Đề HSG lớp 8 môn Toán vòng 2 năm 2022 2023 trường THCS Cao Xuân Huy Nghệ An

  • Đề HSG Toán 8

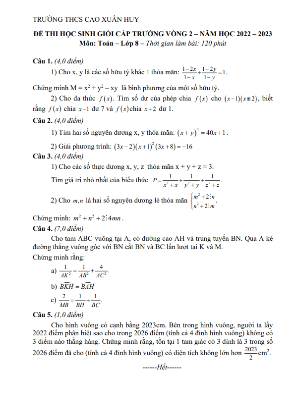
Đề HSG Toán lớp 8 vòng 2 năm 2022 – 2023 trường THCS Cao Xuân Huy Nghệ An

Chào mừng quý thầy cô và các em học sinh lớp 8 đến với đề thi chọn học sinh giỏi cấp trường môn Toán vòng 2 năm học 2022 – 2023 của trường THCS Cao Xuân Huy, Nghệ An. Đề thi bao gồm câu hỏi và đáp án chi tiết để hướng dẫn giải.

Dưới đây là một số câu hỏi trong đề thi:

  • Cho x, y là các số hữu tỷ khác 1 thỏa mãn: $frac{1}{12} x = frac{1}{12} y$. Chứng minh rằng $M = x^2 + y^2 – xy$ là bình phương của một số hữu tỷ.
  • Cho đa thức f(x). Tìm số dư của phép chia f(x) cho $x(x+1)(x+2)$ biết rằng f(x) chia x-1 dư 7 và f(x) chia x+2 dư 1.
  • Cho tam giác ABC vuông tại A, có đường cao AH và trung tuyến BN. Qua A kẻ đường thẳng vuông góc với BN cắt BN và BC lần lượt tại K và M. Chứng minh rằng:
    a) $(AK)^2 = AB . AC$
    b) $triangle BKH sim triangle BAH$
    c) $frac{MB^2}{BH} = frac{BC}{2}$
  • Cho hình vuông có cạnh bằng 2023cm. Bên trong hình vuông, lấy 2022 điểm phân biệt sao cho trong 2026 điểm không có 3 điểm nào thẳng hàng. Chứng minh tồn tại 1 tam giác có diện tích không lớn hơn $frac{2023}{2} cm^2$ với 3 trong số 2026 điểm đã cho.

File WORD dành cho quý thầy cô có thể tải xuống để xem đầy đủ nội dung và đề thi chi tiết. Chúc quý vị và các em học sinh tập trung và làm bài tốt!

Đánh giá bài viết cho thầy/cô vui 

0 / 5 0

Your page rank:

Avatar of Phan Quang
       

Về tác giả : Phan Quang

Giáo viên Toán học xuất sắc, sinh năm 1985 tại Hà Nội. Tốt nghiệp Đại học Sư phạm Hà Nội với bằng cử nhân Toán học, thầy có hơn 10 năm kinh nghiệm giảng dạy cấp 2 và ôn thi vào 10. Năm 2024, thầy sáng lập website daygioi.com – nền tảng giáo dục trực tuyến miễn phí, cung cấp bài giảng video, bài tập tương tác và tài liệu ôn tập cho hàng ngàn học sinh Việt Nam. Với phong cách dạy gần gũi, sáng tạo, thầy luôn khơi dậy niềm đam mê Toán học qua ví dụ đời thường. Được phụ huynh và học sinh yêu mến, thầy là nguồn cảm hứng cho thế hệ giáo viên trẻ.

       

Xem nhiều bài của tác giả : Phan Quang