Đề HSG huyện lớp 7 môn Toán năm 2022 2023 phòng GD ĐT Thạch Thành Thanh Hóa

  • Đề HSG Toán 7

Đề HSG huyện lớp 7 môn Toán năm 2022 2023 phòng GD ĐT Thạch Thành Thanh Hóa

Chúng tôi xin được giới thiệu đến quý thầy cô và các em học sinh lớp 7 đề khảo sát học sinh giỏi cấp huyện môn Toán lớp 7 năm học 2022 – 2023 do phòng Giáo dục và Đào tạo huyện Thạch Thành, tỉnh Thanh Hóa tổ chức. Kỳ thi sẽ diễn ra vào ngày 14 tháng 03 năm 2023.

Dưới đây là một số câu hỏi từ Đề HSG huyện Toán lớp 7 năm 2022 – 2023 phòng GD&ĐT Thạch Thành – Thanh Hóa:

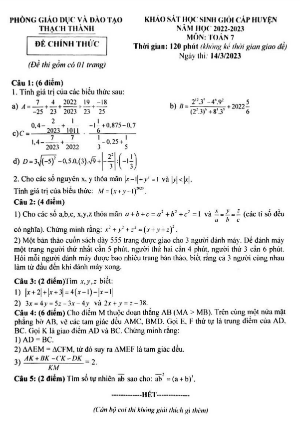
1. Cho các số a, b, c, x, y, z thỏa mãn a + b + c = a² + b² + c² = 1 và x/a = y/b = z/c (các tỉ số đều có nghĩa). Hãy chứng minh rằng x² + y² + z² = (x + y + z)².

2. Một bản thảo cuốn sách dày 555 trang được giao cho 3 người đánh máy. Người thứ nhất cần 5 phút để đánh máy một trang, người thứ hai cần 4 phút, người thứ ba cần 6 phút. Hỏi mỗi người sẽ đánh máy bao nhiêu trang bản thảo, biết rằng cả 3 người cùng nhau làm từ đầu đến khi đánh máy xong.

3. Cho điểm M thuộc đoạn thẳng AB (MA > MB). Trên cùng một nửa mặt phẳng nằm trên bờ AB, vẽ các tam giác đều AMC, BMD. Gọi E, F lần lượt là trung điểm của AD, BC. Gọi K là giao điểm của AD và BC. Hãy chứng minh rằng: Đoạn thẳng AD bằng BC và AEM bằng CFM, từ đó suy ra tam giác MEF là tam giác đều.

Đánh giá bài viết cho thầy/cô vui 

0 / 5 0

Your page rank:

Avatar of Phan Quang
       

Về tác giả : Phan Quang

Giáo viên Toán học xuất sắc, sinh năm 1985 tại Hà Nội. Tốt nghiệp Đại học Sư phạm Hà Nội với bằng cử nhân Toán học, thầy có hơn 10 năm kinh nghiệm giảng dạy cấp 2 và ôn thi vào 10. Năm 2024, thầy sáng lập website daygioi.com – nền tảng giáo dục trực tuyến miễn phí, cung cấp bài giảng video, bài tập tương tác và tài liệu ôn tập cho hàng ngàn học sinh Việt Nam. Với phong cách dạy gần gũi, sáng tạo, thầy luôn khơi dậy niềm đam mê Toán học qua ví dụ đời thường. Được phụ huynh và học sinh yêu mến, thầy là nguồn cảm hứng cho thế hệ giáo viên trẻ.

       

Xem nhiều bài của tác giả : Phan Quang