Đề học sinh giỏi Toán cấp quận năm 2022 2023 phòng GD ĐT Đống Đa Hà Nội

  • Đề HSG Toán 9

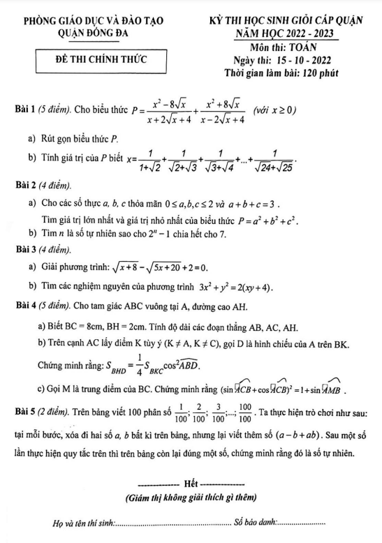
Đề học sinh giỏi Toán cấp quận năm 2022 – 2023 phòng GD&ĐT Đống Đa Hà Nội

Sytu xin chào đến quý thầy cô và các em học sinh lớp 9 với đề thi chọn học sinh giỏi môn Toán THCS cấp quận năm học 2022-2023 do Phòng Giáo dục và Đào tạo UBND quận Đống Đa, Hà Nội tổ chức. Kỳ thi sẽ diễn ra vào ngày 15 tháng 10 năm 2022.

Trích dẫn một số câu hỏi trong Đề học sinh giỏi Toán cấp quận năm 2022 – 2023 phòng GD&ĐT Đống Đa Hà Nội:

  • Câu 1: Cho các số thực a, b, c thỏa mãn 0 ≤ a, b, c ≤ 2 và a + b + c = 3. Hãy tìm giá trị lớn nhất và giá trị nhỏ nhất của biểu thức P = a2 + b2 + c2.
  • Câu 2: Tìm số tự nhiên n sao cho 2n – 1 chia hết cho 7.
  • Câu 3: Trên bảng viết 100 phân số. Thực hiện trò chơi: tại mỗi bước, xóa đi hai số a, b bất kì trên bảng, và viết thêm số (a – b + ab). Chứng minh rằng sau một số bước thực hiện, trên bảng còn lại đúng một số tự nhiên.

Hy vọng các em sẽ cố gắng và tự tin để giải quyết các câu hỏi thú vị này. Chúc quý thầy cô và các em có một kỳ thi thành công!

Đánh giá bài viết cho thầy/cô vui 

0 / 5 0

Your page rank:

Avatar of Phan Quang
       

Về tác giả : Phan Quang

Giáo viên Toán học xuất sắc, sinh năm 1985 tại Hà Nội. Tốt nghiệp Đại học Sư phạm Hà Nội với bằng cử nhân Toán học, thầy có hơn 10 năm kinh nghiệm giảng dạy cấp 2 và ôn thi vào 10. Năm 2024, thầy sáng lập website daygioi.com – nền tảng giáo dục trực tuyến miễn phí, cung cấp bài giảng video, bài tập tương tác và tài liệu ôn tập cho hàng ngàn học sinh Việt Nam. Với phong cách dạy gần gũi, sáng tạo, thầy luôn khơi dậy niềm đam mê Toán học qua ví dụ đời thường. Được phụ huynh và học sinh yêu mến, thầy là nguồn cảm hứng cho thế hệ giáo viên trẻ.

       

Xem nhiều bài của tác giả : Phan Quang