Đề học sinh giỏi tỉnh Toán THPT năm 2023 2024 sở GD ĐT Thanh Hóa

  • Đề HSG Toán 12

Giới thiệu Đề học sinh giỏi tỉnh Toán THPT năm 2023-2024

SyTu kính gửi đến quý thầy cô và các em học sinh lớp 12 bộ đề thi chọn học sinh giỏi cấp tỉnh môn Toán THPT năm học 2023-2024 của sở Giáo dục và Đào tạo tỉnh Thanh Hóa (mã đề GỐC). Bộ đề gồm 8 trang, bao gồm 50 câu hỏi và bài toán dạng trắc nghiệm, thời gian làm bài 90 phút, kèm theo đáp án và lời giải chi tiết.

Ví dụ câu hỏi trong đề thi

1. Trong mặt phẳng toạ độ Oxy, trên tia Ox lấy 12 điểm phân biệt (khác O) là A1, A2, …, A12 và trên tia Oy lấy 12 điểm phân biệt (khác O) là B1, B2, …, B12 thỏa mãn, chọn ngẫu nhiên một tam giác có 3 đỉnh nằm trong 24 điểm. Xác suất để tam giác chọn được có đường tròn ngoại tiếp tiếp xúc với một trong hai trục Ox hoặc Oy là bao nhiêu?

2. Cho hình chóp S.ABCD có đáy ABCD là hình thang AB // CD, gọi M là điểm di động trên cạnh AB (M thuộc AB) và N là trung điểm của cạnh SD. Mặt phẳng đi qua M, N và song song với AD chia khối chóp thành hai khối đa diện có tỉ lệ thể tích V1:V2 = 1:3, khi đó tỉ số MA/M là bao nhiêu?

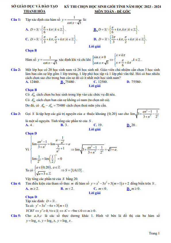
3. Một lớp học có 20 học sinh nam và 26 học sinh nữ. Giáo viên chủ nhiệm cần chọn 3 học sinh làm ban cán sự lớp gồm 1 lớp trưởng, 1 lớp phó học tập và 1 lớp phó văn thể. Hỏi có bao nhiêu cách chọn sao cho trong ban cán sự đó có ít nhất một học sinh nam?

Đây là chỉ một số câu hỏi mẫu trong đề thi. Hy vọng rằng bộ đề này sẽ giúp các em học sinh ôn tập hiệu quả và chuẩn bị tốt nhất cho kỳ thi học sinh giỏi toán cấp tỉnh.

Đánh giá bài viết cho thầy/cô vui 

0 / 5 0

Your page rank:

Avatar of Phan Quang
       

Về tác giả : Phan Quang

Giáo viên Toán học xuất sắc, sinh năm 1985 tại Hà Nội. Tốt nghiệp Đại học Sư phạm Hà Nội với bằng cử nhân Toán học, thầy có hơn 10 năm kinh nghiệm giảng dạy cấp 2 và ôn thi vào 10. Năm 2024, thầy sáng lập website daygioi.com – nền tảng giáo dục trực tuyến miễn phí, cung cấp bài giảng video, bài tập tương tác và tài liệu ôn tập cho hàng ngàn học sinh Việt Nam. Với phong cách dạy gần gũi, sáng tạo, thầy luôn khơi dậy niềm đam mê Toán học qua ví dụ đời thường. Được phụ huynh và học sinh yêu mến, thầy là nguồn cảm hứng cho thế hệ giáo viên trẻ.

       

Xem nhiều bài của tác giả : Phan Quang