Đề học sinh giỏi tỉnh lớp 12 môn Toán năm 2022 2023 sở GD ĐT Bà Rịa Vũng Tàu

  • Đề HSG Toán 12

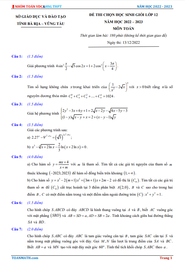
Đề học sinh giỏi tỉnh lớp 12 môn Toán năm 2022-2023 sở GD ĐT Bà Rịa Vũng Tàu

Xin chào quý thầy cô và các em học sinh lớp 12! Dưới đây là đề thi chọn học sinh giỏi cấp tỉnh môn Toán lớp 12 năm học 2022-2023 do Sở Giáo dục và Đào tạo tỉnh Bà Rịa-Vũng Tàu tổ chức. Kỳ thi sẽ diễn ra vào ngày 13 tháng 12 năm 2022, với đề thi có đáp án và lời giải chi tiết được biên soạn bởi Nhóm Toán VDC & HSG THPT.

Trích dẫn một số câu hỏi trong đề thi:

  • Cho hàm số (y = f(x) = 3x^2 – mx + frac{m}{2}) có đồ thị là ((C_m)). Tìm tất cả các giá trị tham số (m) để ((C_m)) cắt trục hoành tại 3 điểm phân biệt (A(2;0)), (B) và (C) sao cho trong hai điểm (B), (C) có một điểm nằm trong và một điểm nằm ngoài đường tròn ((x – 2)^2 + y^2 = 1).
  • Cho hình chóp (S-ABC) có đáy (ABC) là tam giác vuông cân tại (B), tam giác (SAC) cân tại (S) và nằm trong mặt phẳng vuông góc với đáy. Gọi (M), (N) lần lượt là trung điểm của (SA) và (BC). Biết (AB = a) và (MN) tạo với mặt đáy một góc (60°). Tính thể tích khối chóp (S-ABC) theo (a).
  • Cho hàm số (f(x) = x – cot(x) sin(x) + cos(x)) xác định, liên tục trên (mathbb{R}) và thoả mãn (f(x) = x cot(x) + sin(x) cos(x)). Tìm giá trị lớn nhất và giá trị nhỏ nhất của hàm số (g(x) = f(x)f'(x)) trên đoạn ([-1;1]).

Chúc quý thầy cô và các em học sinh có kỳ thi thành công! Hãy cố gắng hết mình và tự tin trả lời các câu hỏi trong đề thi.

Đánh giá bài viết cho thầy/cô vui 

0 / 5 0

Your page rank:

Avatar of Phan Quang
       

Về tác giả : Phan Quang

Giáo viên Toán học xuất sắc, sinh năm 1985 tại Hà Nội. Tốt nghiệp Đại học Sư phạm Hà Nội với bằng cử nhân Toán học, thầy có hơn 10 năm kinh nghiệm giảng dạy cấp 2 và ôn thi vào 10. Năm 2024, thầy sáng lập website daygioi.com – nền tảng giáo dục trực tuyến miễn phí, cung cấp bài giảng video, bài tập tương tác và tài liệu ôn tập cho hàng ngàn học sinh Việt Nam. Với phong cách dạy gần gũi, sáng tạo, thầy luôn khơi dậy niềm đam mê Toán học qua ví dụ đời thường. Được phụ huynh và học sinh yêu mến, thầy là nguồn cảm hứng cho thế hệ giáo viên trẻ.

       

Xem nhiều bài của tác giả : Phan Quang