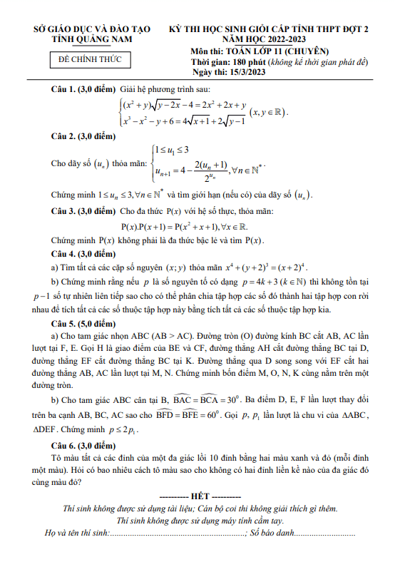
Đề học sinh giỏi tỉnh lớp 11 môn Toán chuyên đợt 2 năm 2022 2023 sở GD ĐT Quảng Nam

  • Đề HSG Toán 11

Đề Học Sinh Giỏi Tỉnh Lớp 11 Môn Toán Chuyên Đợt 2 Năm 2022-2023 Sở GD&ĐT Quảng Nam

Sytu xin gửi đến quý thầy cô và các em học sinh lớp 11 đề thi chọn học sinh giỏi cấp tỉnh THPT môn Toán lớp 11 chuyên đợt 2 năm học 2022-2023 của sở Giáo dục và Đào tạo tỉnh Quảng Nam. Kỳ thi sẽ diễn ra vào thứ Tư ngày 15 tháng 03 năm 2023, với đề thi có đáp án và hướng dẫn chấm điểm.

Đề thi bao gồm các câu hỏi phong phú và đa dạng như:

  1. Chứng minh rằng nếu p là số nguyên tố có dạng pk k 4 3 thì không tồn tại p − 1 số tự nhiên liên tiếp sao cho có thể phân chia tập hợp các số đó thành hai tập hợp con rời nhau để tích tất cả các số thuộc tập hợp này bằng tích tất cả các số thuộc tập hợp kia.
  2. Cho tam giác nhọn ABC (AB > AC). Đường tròn (O) đường kính BC cắt AB, AC lần lượt tại F, E. Gọi H là giao điểm của BE và CF, đường thẳng AH cắt đường thẳng BC tại D, đường thẳng EF cắt đường thẳng BC tại K. Đường thẳng qua D song song với EF cắt hai đường thẳng AB, AC lần lượt tại M, N. Chứng minh bốn điểm M, O, N, K cùng nằm trên một đường tròn.
  3. Tô màu tất cả các đỉnh của một đa giác lồi 10 đỉnh bằng hai màu xanh và đỏ (mỗi đỉnh một màu). Hỏi có bao nhiêu cách tô màu sao cho không có hai đỉnh liền kề nào của đa giác đó cùng màu đỏ?

File WORD của đề thi có thể tải về dưới đây để thầy cô tham khảo và chuẩn bị cho học sinh:

Tải đề thi môn Toán lớp 11 chuyên đợt 2 năm 2022-2023 sở GD&ĐT Quảng Nam

Đánh giá bài viết cho thầy/cô vui 

0 / 5 0

Your page rank:

Avatar of Phan Quang
       

Về tác giả : Phan Quang

Giáo viên Toán học xuất sắc, sinh năm 1985 tại Hà Nội. Tốt nghiệp Đại học Sư phạm Hà Nội với bằng cử nhân Toán học, thầy có hơn 10 năm kinh nghiệm giảng dạy cấp 2 và ôn thi vào 10. Năm 2024, thầy sáng lập website daygioi.com – nền tảng giáo dục trực tuyến miễn phí, cung cấp bài giảng video, bài tập tương tác và tài liệu ôn tập cho hàng ngàn học sinh Việt Nam. Với phong cách dạy gần gũi, sáng tạo, thầy luôn khơi dậy niềm đam mê Toán học qua ví dụ đời thường. Được phụ huynh và học sinh yêu mến, thầy là nguồn cảm hứng cho thế hệ giáo viên trẻ.

       

Xem nhiều bài của tác giả : Phan Quang