Đề học sinh giỏi lớp 9 môn Toán vòng 2 năm 2022 2023 phòng GD ĐT Tứ Kỳ Hải Dương

  • Đề HSG Toán 9

Đề học sinh giỏi Toán lớp 9 vòng 2 năm 2022 – 2023 phòng GD&ĐT Tứ Kỳ – Hải Dương

Sytu xin giới thiệu đến quý thầy cô và các em học sinh lớp 9 đề thi chọn học sinh giỏi môn Toán lớp 9 vòng 2 năm học 2022 – 2023 phòng Giáo dục và Đào tạo huyện Tứ Kỳ, tỉnh Hải Dương. Đề thi bao gồm các câu hỏi có đáp án, lời giải chi tiết và hướng dẫn chấm điểm.

Trích dẫn một số câu hỏi từ đề thi:

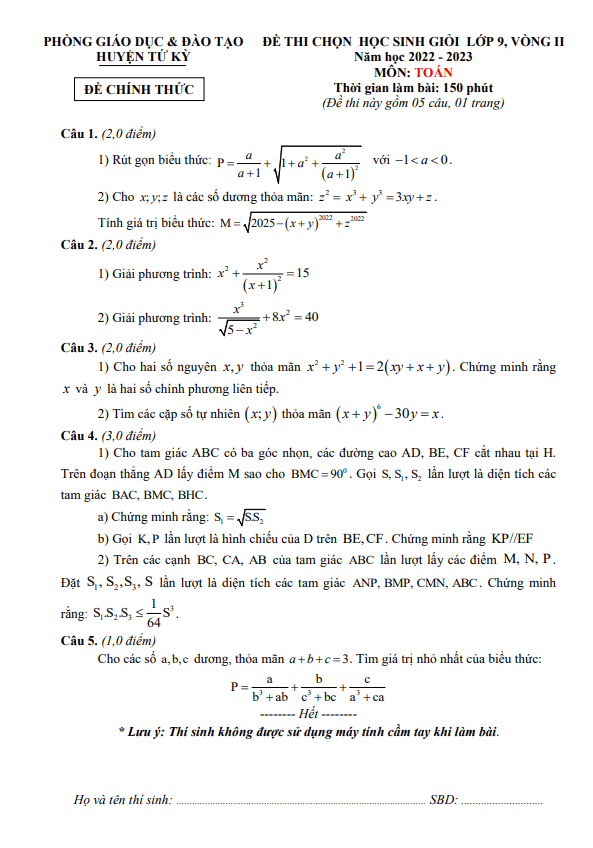
1. Cho hai số nguyên dương x, y thỏa mãn: (2x^2 + 2y^2 = xy + x + y + 1). Chứng minh rằng x và y là hai số chính phương liên tiếp. Tìm các cặp số tự nhiên x, y thỏa mãn (6x^2 + y^2 = yx + 30).

2. Cho tam giác ABC có ba góc nhọn, các đường cao AD, BE, CF cắt nhau tại H. Trên đoạn thẳng AD lấy điểm M sao cho ∠BMC = 90°. Gọi S, S’, S” lần lượt là diện tích các tam giác BAC, BMC, BHC.
a) Chứng minh rằng: S = S’ + S”.
b) Gọi K, P lần lượt là hình chiếu của D trên BE, CF. Chứng minh rằng KP // EF.

3. Trên các cạnh BC, CA, AB của tam giác ABC lần lượt lấy các điểm M, N, P. Đặt S, S’, S” lần lượt là diện tích các tam giác ANP, BMP, CMN, ABC. Chứng minh rằng: (3S = S’ + 2S” + 64).

Đề thi sẽ là cơ hội thử thách khả năng giải quyết bài toán và logic của các em học sinh. Hy vọng các em sẽ cố gắng hết mình để giải quyết các câu hỏi thú vị này. Chúc các em thành công!

Đánh giá bài viết cho thầy/cô vui 

0 / 5 0

Your page rank:

Avatar of Phan Quang
       

Về tác giả : Phan Quang

Giáo viên Toán học xuất sắc, sinh năm 1985 tại Hà Nội. Tốt nghiệp Đại học Sư phạm Hà Nội với bằng cử nhân Toán học, thầy có hơn 10 năm kinh nghiệm giảng dạy cấp 2 và ôn thi vào 10. Năm 2024, thầy sáng lập website daygioi.com – nền tảng giáo dục trực tuyến miễn phí, cung cấp bài giảng video, bài tập tương tác và tài liệu ôn tập cho hàng ngàn học sinh Việt Nam. Với phong cách dạy gần gũi, sáng tạo, thầy luôn khơi dậy niềm đam mê Toán học qua ví dụ đời thường. Được phụ huynh và học sinh yêu mến, thầy là nguồn cảm hứng cho thế hệ giáo viên trẻ.

       

Xem nhiều bài của tác giả : Phan Quang