Đề học sinh giỏi lớp 9 môn Toán năm 2023 2024 phòng GD ĐT Thanh Oai Hà Nội

  • Đề HSG Toán 9

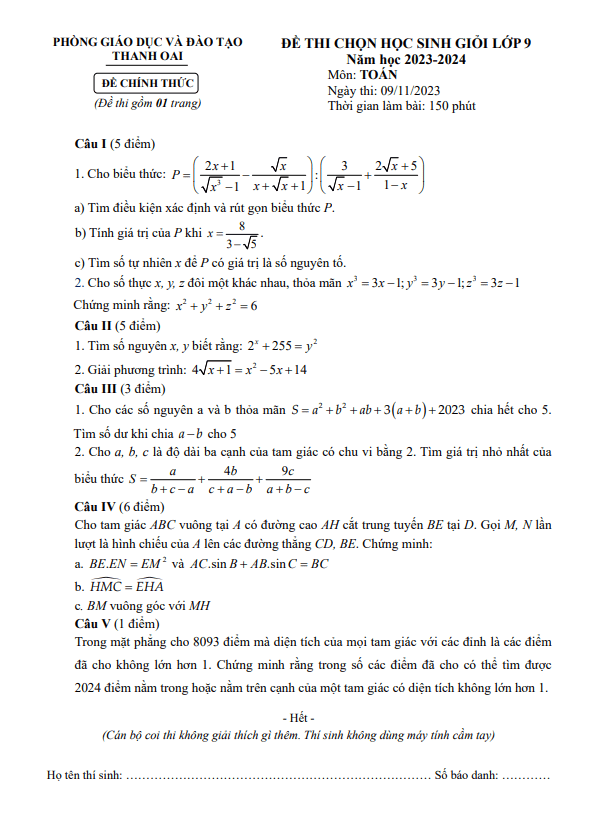
Đề thi học sinh giỏi Toán lớp 9 năm 2023 – 2024 phòng GD&ĐT Thanh Oai Hà Nội

Chúng tôi xin giới thiệu đến quý thầy cô và các em học sinh lớp 9 đề thi chọn học sinh giỏi môn Toán lớp 9 năm học 2023 – 2024 của phòng Giáo dục và Đào tạo huyện Thanh Oai, thành phố Hà Nội. Kỳ thi sẽ diễn ra vào ngày 09 tháng 11 năm 2023. Đề thi bao gồm câu hỏi và đáp án chi tiết cùng hướng dẫn chấm điểm.

Một số câu hỏi trong đề thi bao gồm:

1. Cho tam giác ABC vuông tại A có đường cao AH cắt trung tuyến BE tại D. Gọi M, N lần lượt là hình chiếu của A lên các đường thẳng CD, BE. Hãy chứng minh rằng:
a. 2 BE/EN = EM và sinC = BC/AB.
b. HM = MC = EHA.
c. BM vuông góc với MH.

2. Trong mặt phẳng cho 8093 điểm, chứng minh rằng trong số các điểm đã cho có thể tìm được 2024 điểm nằm trong hoặc nằm trên cạnh của một tam giác có diện tích không lớn hơn 1.

3. Cho các số nguyên a và b thỏa mãn S=ab(a^2+b^2)=2023. Tìm số dư khi chia a^5 + b^5 cho 5.

Đánh giá bài viết cho thầy/cô vui 

0 / 5 0

Your page rank:

Avatar of Phan Quang
       

Về tác giả : Phan Quang

Giáo viên Toán học xuất sắc, sinh năm 1985 tại Hà Nội. Tốt nghiệp Đại học Sư phạm Hà Nội với bằng cử nhân Toán học, thầy có hơn 10 năm kinh nghiệm giảng dạy cấp 2 và ôn thi vào 10. Năm 2024, thầy sáng lập website daygioi.com – nền tảng giáo dục trực tuyến miễn phí, cung cấp bài giảng video, bài tập tương tác và tài liệu ôn tập cho hàng ngàn học sinh Việt Nam. Với phong cách dạy gần gũi, sáng tạo, thầy luôn khơi dậy niềm đam mê Toán học qua ví dụ đời thường. Được phụ huynh và học sinh yêu mến, thầy là nguồn cảm hứng cho thế hệ giáo viên trẻ.

       

Xem nhiều bài của tác giả : Phan Quang