Đề học sinh giỏi lớp 9 môn Toán cấp tỉnh năm 2022 2023 sở GD ĐT Ninh Bình

  • Đề HSG Toán 9

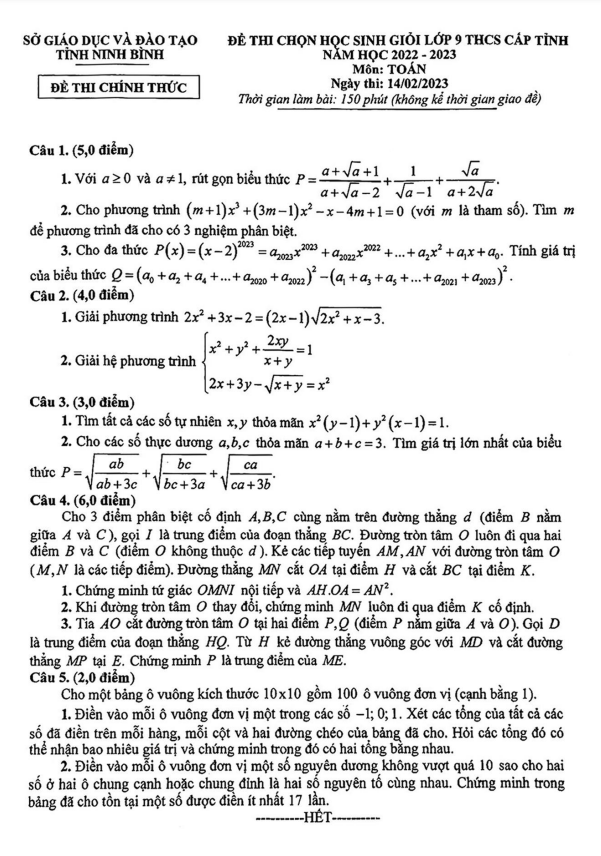
Đề thi học sinh giỏi Toán lớp 9 cấp tỉnh Ninh Bình năm 2022-2023

Xin chào quý thầy cô giáo và các em học sinh lớp 9! Đây là đề thi chọn học sinh giỏi môn Toán lớp 9 THCS cấp tỉnh Ninh Bình cho năm học 2022-2023 do Sở Giáo dục và Đào tạo tỉnh Ninh Bình tổ chức. Kỳ thi sẽ diễn ra vào ngày 14 tháng 02 năm 2023.

Đề thi bao gồm các bài toán sau:

  1. Cho phương trình ( (m + 1)x^3 + (3m – 1)x^2 – x – 4m + 1 = 0 ) (với m là tham số). Hãy tìm giá trị của m để phương trình đã cho có 3 nghiệm phân biệt.
  2. Giả sử có 3 điểm phân biệt cố định A, B, C nằm trên cùng một đường thẳng. Gọi I là trung điểm của đoạn thẳng BC. Được biết đường tròn tâm O luôn đi qua B và C. Kẻ các tiếp tuyến AM, AN với đường tròn tâm O (M, N là các tiếp điểm). Chứng minh rằng tứ giác OMNI nội tiếp và ( AH cdot OA = AN^2 ).
  3. Đề bài thứ ba liên quan đến việc điền các số vào bảng ô vuông kích thước 10×10 và xác định các tổng trên các hàng, cột và đường chéo của bảng. Hỏi tổng của các số trên bảng có thể nhận bao nhiêu giá trị và chứng minh rằng có hai tổng bằng nhau.
  4. Trong bài toán cuối cùng, ta cần điền các số nguyên dương vào các ô vuông sao cho hai số ở hai ô chung cạnh hoặc chung đỉnh là hai số nguyên tố cùng nhau. Chứng minh rằng trong bảng đã cho tồn tại một số được điền ít nhất 17 lần.

Hy vọng rằng các em học sinh sẽ rèn luyện và tự tin tham gia kỳ thi học sinh giỏi Toán lớp 9 cấp tỉnh Ninh Bình này. Chúc quý thầy cô và các em đạt kết quả cao trong kỳ thi sắp tới!

Đánh giá bài viết cho thầy/cô vui 

0 / 5 0

Your page rank:

Avatar of Phan Quang
       

Về tác giả : Phan Quang

Giáo viên Toán học xuất sắc, sinh năm 1985 tại Hà Nội. Tốt nghiệp Đại học Sư phạm Hà Nội với bằng cử nhân Toán học, thầy có hơn 10 năm kinh nghiệm giảng dạy cấp 2 và ôn thi vào 10. Năm 2024, thầy sáng lập website daygioi.com – nền tảng giáo dục trực tuyến miễn phí, cung cấp bài giảng video, bài tập tương tác và tài liệu ôn tập cho hàng ngàn học sinh Việt Nam. Với phong cách dạy gần gũi, sáng tạo, thầy luôn khơi dậy niềm đam mê Toán học qua ví dụ đời thường. Được phụ huynh và học sinh yêu mến, thầy là nguồn cảm hứng cho thế hệ giáo viên trẻ.

       

Xem nhiều bài của tác giả : Phan Quang