Đề học sinh giỏi lớp 8 môn Toán năm 2022 2023 phòng GD ĐT Tiền Hải Thái Bình

  • Đề HSG Toán 8

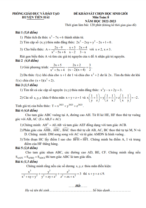
Đề Học Sinh Giỏi Toán Lớp 8 Năm 2022 – 2023 Phòng GD&ĐT Tiền Hải – Thái Bình

Chào đón quý thầy cô giáo và các em học sinh lớp 8! Trong năm học 2022 – 2023, Phòng Giáo dục và Đào tạo huyện Tiền Hải, tỉnh Thái Bình, đã tổ chức đề khảo sát học sinh giỏi cấp huyện môn Toán lớp 8. Đề thi bao gồm các câu hỏi thú vị, được kèm theo đáp án, lời giải chi tiết và hướng dẫn chấm điểm.

Ví dụ về một số câu hỏi trong đề thi:

1. Tìm đa thức dư khi chia đa thức f(x) cho (x + 1)(x2 + 2).

2. Chứng minh một số tính chất của tam giác vuông ABC và các đường phân giác.

3. Chứng minh điều kiện để tam giác ABC là tam giác đều dựa trên một số điều kiện đã cho.

Đề thi không chỉ giúp các em ôn tập kiến thức mà còn phát triển tư duy logic và kỹ năng giải bài tập. Hy vọng rằng đề thi sẽ giúp các em tự tin và thành công trong kỳ thi học sinh giỏi cấp huyện. Chúc quý thầy cô và các em học sinh một buổi thi tốt đẹp!

Đánh giá bài viết cho thầy/cô vui 

0 / 5 0

Your page rank:

Avatar of Phan Quang
       

Về tác giả : Phan Quang

Giáo viên Toán học xuất sắc, sinh năm 1985 tại Hà Nội. Tốt nghiệp Đại học Sư phạm Hà Nội với bằng cử nhân Toán học, thầy có hơn 10 năm kinh nghiệm giảng dạy cấp 2 và ôn thi vào 10. Năm 2024, thầy sáng lập website daygioi.com – nền tảng giáo dục trực tuyến miễn phí, cung cấp bài giảng video, bài tập tương tác và tài liệu ôn tập cho hàng ngàn học sinh Việt Nam. Với phong cách dạy gần gũi, sáng tạo, thầy luôn khơi dậy niềm đam mê Toán học qua ví dụ đời thường. Được phụ huynh và học sinh yêu mến, thầy là nguồn cảm hứng cho thế hệ giáo viên trẻ.

       

Xem nhiều bài của tác giả : Phan Quang