Đề học sinh giỏi lớp 8 môn Toán năm 2022 2023 phòng GD ĐT thành phố Bắc Giang

  • Đề HSG Toán 8

Đề học sinh giỏi Toán lớp 8 năm 2022 – 2023 phòng GD&ĐT thành phố Bắc Giang

Sytu hân hạnh giới thiệu đến các thầy cô giáo và các em học sinh lớp 8 đề thi chọn học sinh giỏi văn hóa cấp thành phố môn Toán năm học 2022-2023 do Phòng Giáo dục và Đào tạo thành phố Bắc Giang tổ chức. Đề thi bao gồm đáp án, lời giải chi tiết và hướng dẫn chấm điểm, và dự kiến sẽ diễn ra vào ngày 08 tháng 04 năm 2023.

Trích dẫn một số câu hỏi trong đề thi:

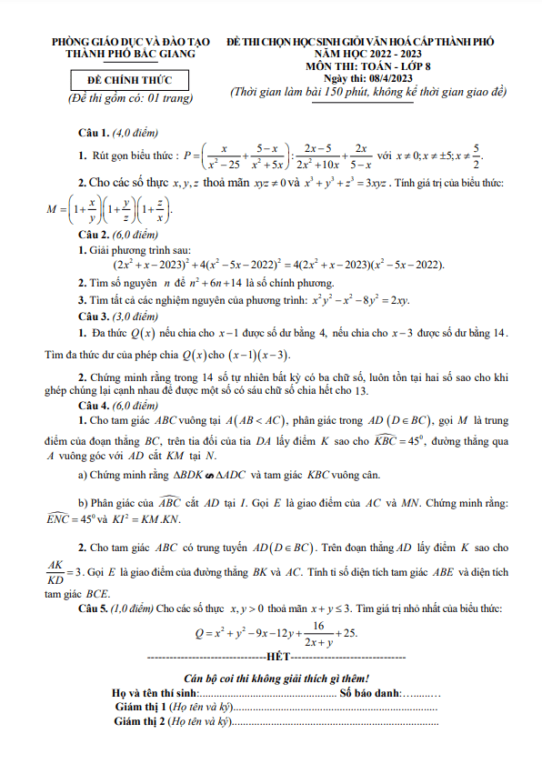
  • Cho đa thức Q(x) nếu chia cho x – 1 được số dư bằng 4, chia cho x – 3 được số dư bằng 14. Hãy tìm đa thức dư của phép chia Q(x) cho (x + 1)(x + 3).
  • Chứng minh rằng trong 14 số tự nhiên có ba chữ số, luôn tồn tại hai số sao cho khi ghép chúng lại cạnh nhau để được một số có sáu chữ số chia hết cho 13.
  • Với tam giác ABC vuông tại A, AB > AC, phân giác trong AD (D thuộc BC), gọi M là trung điểm của BC. Trên tia đối của tia DA lấy điểm K sao cho ∠KBC = 45°, đường thẳng qua A vuông góc với AD cắt KM tại N. Hãy chứng minh các mệnh đề liên quan đến tam giác và giao điểm các đường thẳng.

Mời quý thầy cô giáo và các em học sinh lớp 8 tham gia kỳ thi học sinh giỏi Toán năm học 2022-2023 để thể hiện tài năng và kiến thức của mình. Đây là cơ hội để rèn luyện kỹ năng giải quyết vấn đề và nâng cao trình độ Toán học.

Đánh giá bài viết cho thầy/cô vui 

0 / 5 0

Your page rank:

Avatar of Phan Quang
       

Về tác giả : Phan Quang

Giáo viên Toán học xuất sắc, sinh năm 1985 tại Hà Nội. Tốt nghiệp Đại học Sư phạm Hà Nội với bằng cử nhân Toán học, thầy có hơn 10 năm kinh nghiệm giảng dạy cấp 2 và ôn thi vào 10. Năm 2024, thầy sáng lập website daygioi.com – nền tảng giáo dục trực tuyến miễn phí, cung cấp bài giảng video, bài tập tương tác và tài liệu ôn tập cho hàng ngàn học sinh Việt Nam. Với phong cách dạy gần gũi, sáng tạo, thầy luôn khơi dậy niềm đam mê Toán học qua ví dụ đời thường. Được phụ huynh và học sinh yêu mến, thầy là nguồn cảm hứng cho thế hệ giáo viên trẻ.

       

Xem nhiều bài của tác giả : Phan Quang