Đề học sinh giỏi lớp 8 môn Toán năm 2021 2022 phòng GD ĐT Kim Thành Hải Dương

  • Đề HSG Toán 8

Đề học sinh giỏi lớp 8 môn Toán năm 2021-2022 phòng GD ĐT Kim Thành Hải Dương

Sytu xin gửi đến quý thầy, cô giáo và các em học sinh lớp 8 đề khảo sát học sinh giỏi môn Toán lớp 8 năm học 2021-2022 do phòng Giáo dục và Đào tạo UBND huyện Kim Thành, tỉnh Hải Dương tổ chức.

Trích dẫn đề học sinh giỏi Toán lớp 8 năm 2021-2022 phòng GD&ĐT Kim Thành – Hải Dương:

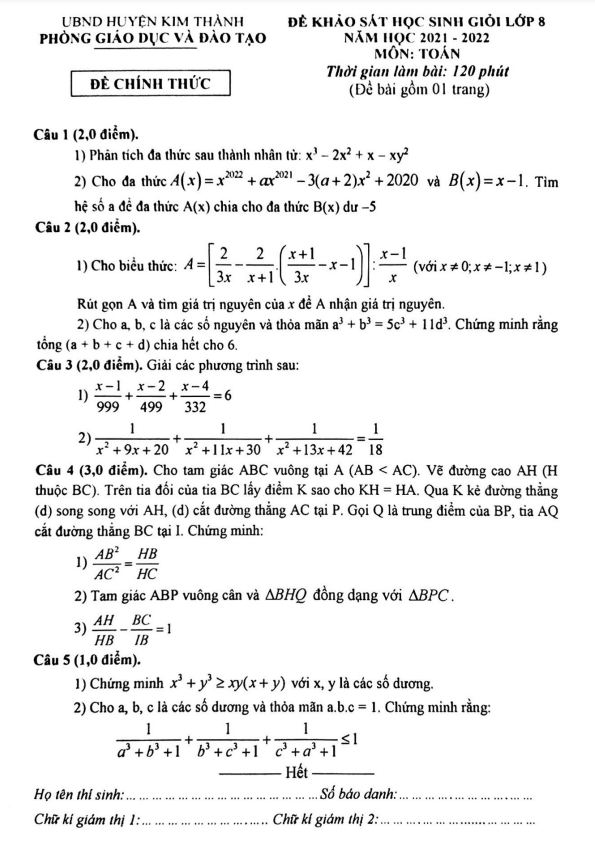
– Bài 1: Cho biểu thức. Rút gọn A và tìm giá trị nguyên của x để A nhận giá trị nguyên.

– Bài 2: Cho a, b, c là các số nguyên và thỏa mãn a3 + b3 = 5c3 + 11d3. Chứng minh rằng tổng (a + b + c + d) chia hết cho 6.

– Bài 3: Cho tam giác ABC vuông tại A (AB

Đề thi mang đến cho các em thử thách, khám phá và rèn luyện kỹ năng giải bài toán. Hy vọng rằng các em sẽ tự tin và thành công trong kỳ thi sắp tới. Chúc các em học tốt!

Đánh giá bài viết cho thầy/cô vui 

0 / 5 0

Your page rank:

Avatar of Phan Quang
       

Về tác giả : Phan Quang

Giáo viên Toán học xuất sắc, sinh năm 1985 tại Hà Nội. Tốt nghiệp Đại học Sư phạm Hà Nội với bằng cử nhân Toán học, thầy có hơn 10 năm kinh nghiệm giảng dạy cấp 2 và ôn thi vào 10. Năm 2024, thầy sáng lập website daygioi.com – nền tảng giáo dục trực tuyến miễn phí, cung cấp bài giảng video, bài tập tương tác và tài liệu ôn tập cho hàng ngàn học sinh Việt Nam. Với phong cách dạy gần gũi, sáng tạo, thầy luôn khơi dậy niềm đam mê Toán học qua ví dụ đời thường. Được phụ huynh và học sinh yêu mến, thầy là nguồn cảm hứng cho thế hệ giáo viên trẻ.

       

Xem nhiều bài của tác giả : Phan Quang