Đề học sinh giỏi lớp 6 môn Toán năm 2022 2023 phòng GD ĐT thành phố Ninh Bình

  • Đề HSG Toán 6

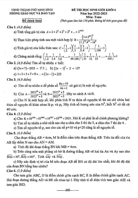
Đề thi học sinh giỏi lớp 6 môn Toán năm 2022-2023 tại Ninh Bình

Chào quý thầy cô và các em học sinh lớp 6! Hôm nay, Sytu xin giới thiệu đến mọi người đề thi chọn học sinh giỏi môn Toán lớp 6 THCS năm học 2022-2023 từ phòng Giáo dục và Đào tạo thành phố Ninh Bình, tỉnh Ninh Bình. Đề thi bao gồm 06 bài toán tự luận, thời gian làm bài là 150 phút.

Trích dẫn một số câu hỏi từ đề thi:
1) Cho N là một hợp số, khi phân tích N ra thừa số nguyên tố thì nó chỉ chứa hai thừa số nguyên tố khác nhau là p1 và p2. Hãy tính số lượng ước của N2 biết N3 có tất cả 40 ước.

2) Cho đoạn thẳng AB = 6cm, M là điểm nằm trên đoạn thẳng AB. Trên tia đối của tia AB lấy điểm N sao cho AN = AM. Hãy tính độ dài đoạn thẳng BN khi MB = 4cm.

3) Cho tam giác ABC, D là điểm chính giữa cạnh BC, E là điểm chính giữa cạnh AC. Hai đoạn đường thẳng AD và BE cắt nhau tại I. Hãy tính tỉ số diện tích tam giác AIE và tam giác BID.

Mong rằng các em sẽ tự tin và tỏa sáng trong kỳ thi sắp tới. Chúc các em học tốt và đạt kết quả cao trong bài thi này. Chúc quý thầy cô giảng dạy thành công và học sinh thăng tiến trên con đường học vấn. Cám ơn mọi người đã lắng nghe!

Đánh giá bài viết cho thầy/cô vui 

0 / 5 0

Your page rank:

Avatar of Phan Quang
       

Về tác giả : Phan Quang

Giáo viên Toán học xuất sắc, sinh năm 1985 tại Hà Nội. Tốt nghiệp Đại học Sư phạm Hà Nội với bằng cử nhân Toán học, thầy có hơn 10 năm kinh nghiệm giảng dạy cấp 2 và ôn thi vào 10. Năm 2024, thầy sáng lập website daygioi.com – nền tảng giáo dục trực tuyến miễn phí, cung cấp bài giảng video, bài tập tương tác và tài liệu ôn tập cho hàng ngàn học sinh Việt Nam. Với phong cách dạy gần gũi, sáng tạo, thầy luôn khơi dậy niềm đam mê Toán học qua ví dụ đời thường. Được phụ huynh và học sinh yêu mến, thầy là nguồn cảm hứng cho thế hệ giáo viên trẻ.

       

Xem nhiều bài của tác giả : Phan Quang