Đề học sinh giỏi lớp 12 môn Toán lần 1 năm 2022 2023 cụm liên trường THPT Nghệ An

  • Đề HSG Toán 12

Đề học sinh giỏi Toán lớp 12 cụm liên trường THPT Nghệ An

Xin chào các thầy cô giáo và các em học sinh lớp 12! Trong kỳ khảo sát chất lượng học sinh giỏi môn Toán lớp 12 lần 1 năm học 2022 – 2023 của cụm trường THPT Nghệ An, hãy cùng Sytu khám phá những bài toán hấp dẫn sau:

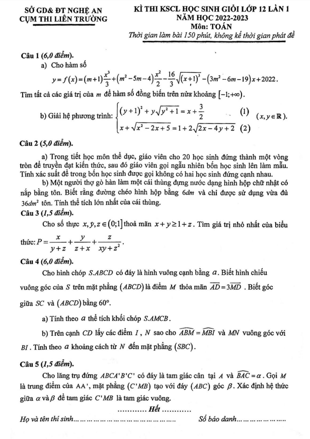
1. Trong tiết học môn thể dục, giáo viên chọn ngẫu nhiên 4 học sinh từ vòng tròn 20 học sinh. Tính xác suất để 4 học sinh được chọn không có hai học sinh đứng cạnh nhau.

2. Một người thợ gò hàn làm một cái thùng nước hình hộp chữ nhật có đường chéo bằng 6dm và diện tích tôn chỉ sử dụng là 36dm2. Hãy tính thể tích lớn nhất của cái thùng.

3. Gọi ABC là tam giác cân với góc BAC = a và M là trung điểm của AA’. Mặt phẳng (C’MB) tạo với đáy (ABC) góc b. Xác định điều kiện giữa a và b để tam giác C’MB là tam giác vuông.

Hy vọng rằng các em sẽ trải nghiệm những bài toán thú vị và học hỏi được nhiều kiến thức từ Đề học sinh giỏi Toán lớp 12 lần 1 năm 2022 – 2023. Chúc các em thành công!

Đánh giá bài viết cho thầy/cô vui 

0 / 5 0

Your page rank:

Avatar of Phan Quang
       

Về tác giả : Phan Quang

Giáo viên Toán học xuất sắc, sinh năm 1985 tại Hà Nội. Tốt nghiệp Đại học Sư phạm Hà Nội với bằng cử nhân Toán học, thầy có hơn 10 năm kinh nghiệm giảng dạy cấp 2 và ôn thi vào 10. Năm 2024, thầy sáng lập website daygioi.com – nền tảng giáo dục trực tuyến miễn phí, cung cấp bài giảng video, bài tập tương tác và tài liệu ôn tập cho hàng ngàn học sinh Việt Nam. Với phong cách dạy gần gũi, sáng tạo, thầy luôn khơi dậy niềm đam mê Toán học qua ví dụ đời thường. Được phụ huynh và học sinh yêu mến, thầy là nguồn cảm hứng cho thế hệ giáo viên trẻ.

       

Xem nhiều bài của tác giả : Phan Quang