Đề học sinh giỏi lớp 11 môn Toán năm 2020 2021 trường THPT Minh Châu Hưng Yên

  • Đề HSG Toán 11

Đề học sinh giỏi Toán lớp 11 năm 2020 – 2021 trường THPT Minh Châu – Hưng Yên

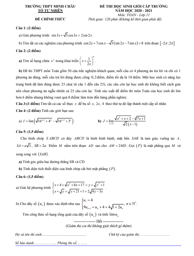
Đề thi học sinh giỏi Toán lớp 11 năm học 2020 – 2021 trường THPT Minh Châu – Hưng Yên bao gồm một trang với 6 bài toán dạng tự luận. Thời gian làm bài là 120 phút, đề thi có đáp án và lời giải chi tiết.

Đề thi bao gồm 50 câu trắc nghiệm khách quan. Mỗi câu có 4 phương án trả lời, chỉ có một phương án đúng. Mỗi câu trả lời đúng được cộng 0,2 điểm, điểm tối đa là 10 điểm. Một học sinh có năng lực trung bình đã làm đúng 25 câu (từ câu 1 đến câu 25), những câu còn lại học sinh đó không biết cách giải nên chọn phương án ngẫu nhiên cho 25 câu còn lại. Chúng ta cần tính xác suất để điểm thi môn Toán của học sinh đó lớn hơn 6 điểm nhưng không vượt quá 8 điểm (làm tròn đến hàng phần nghìn).

Trong một bài toán khác, cho hình chóp S ABCD có đáy ABCD là hình bình hành, mặt bên SAB là tam giác vuông tại A, SA = 3 và SB = 2. Điểm M nằm trên đoạn AD sao cho AM = MD = 2. Gọi P là mặt phẳng qua M và song song với SAB.
a) Tính góc giữa hai đường thẳng SB và CD.
b) Tính diện tích thiết diện của hình chóp cắt bởi mặt phẳng P.

Cuối cùng, trong dãy số un được xác định như sau. Chúng ta cần tìm công thức số hạng tổng quát của dãy số un và tính giới hạn khi n tiến đến vô cùng.

Đánh giá bài viết cho thầy/cô vui 

0 / 5 0

Your page rank:

Avatar of Phan Quang
       

Về tác giả : Phan Quang

Giáo viên Toán học xuất sắc, sinh năm 1985 tại Hà Nội. Tốt nghiệp Đại học Sư phạm Hà Nội với bằng cử nhân Toán học, thầy có hơn 10 năm kinh nghiệm giảng dạy cấp 2 và ôn thi vào 10. Năm 2024, thầy sáng lập website daygioi.com – nền tảng giáo dục trực tuyến miễn phí, cung cấp bài giảng video, bài tập tương tác và tài liệu ôn tập cho hàng ngàn học sinh Việt Nam. Với phong cách dạy gần gũi, sáng tạo, thầy luôn khơi dậy niềm đam mê Toán học qua ví dụ đời thường. Được phụ huynh và học sinh yêu mến, thầy là nguồn cảm hứng cho thế hệ giáo viên trẻ.

       

Xem nhiều bài của tác giả : Phan Quang