Đề học sinh giỏi lớp 10 môn Toán năm 2020 2021 trường Phùng Khắc Khoan Hà Nội

  • Đề HSG Toán 10

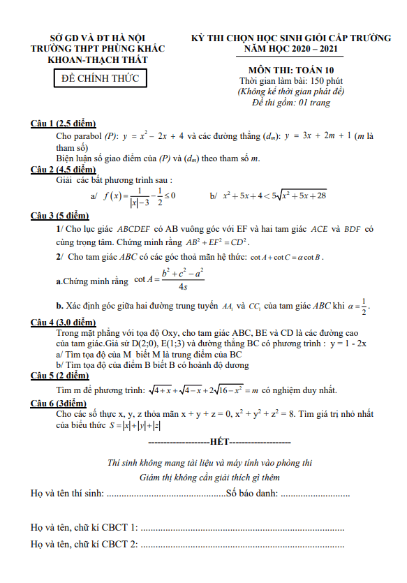
Đề học sinh giỏi Toán lớp 10 năm 2020 – 2021 trường THPT Phùng Khắc Khoan Hà Nội

Chúng tôi xin trân trọng giới thiệu đến quý thầy cô và các em học sinh lớp 10 đề học sinh giỏi Toán lớp 10 năm học 2020 – 2021 của trường THPT Phùng Khắc Khoan, huyện Thạch Thất, thành phố Hà Nội. Đề thi gồm 1 trang với 6 bài toán dạng tự luận, thời gian làm bài thi là 150 phút và có lời giải chi tiết.

Một trong những câu hỏi trong đề thi là:
Trong mặt phẳng với tọa độ Oxy, cho tam giác ABC, BE và CD là các đường cao của tam giác. Giả sử D(2;0), E(1;3) và đường thẳng BC có phương trình: y = 1 – 2x. a/ Tìm tọa độ của M biết M là trung điểm của BC. b/ Tìm tọa độ của điểm B biết B có hoành độ dương.

Câu hỏi khác trong đề thi là:
Cho các số thực x, y, z thỏa mãn x + y + z = 0, x^2 + y^2 + z^2 = 8. Tìm giá trị nhỏ nhất của biểu thức S = |x| + |y| + |z|.

Và câu hỏi cuối cùng trong đề thi năm nay là:
Cho lục giác ABCDEF có AB vuông góc với EF và hai tam giác ACE và BDF có cùng trọng tâm. Chứng minh rằng AB^2 + EF^2 = CD^2.

Hy vọng rằng đề thi sẽ giúp các em học sinh lớp 10 tại trường THPT Phùng Khắc Khoan Hà Nội phát triển kỹ năng giải toán và chuẩn bị tốt cho kỳ thi sắp tới.

Đánh giá bài viết cho thầy/cô vui 

0 / 5 0

Your page rank:

Avatar of Phan Quang
       

Về tác giả : Phan Quang

Giáo viên Toán học xuất sắc, sinh năm 1985 tại Hà Nội. Tốt nghiệp Đại học Sư phạm Hà Nội với bằng cử nhân Toán học, thầy có hơn 10 năm kinh nghiệm giảng dạy cấp 2 và ôn thi vào 10. Năm 2024, thầy sáng lập website daygioi.com – nền tảng giáo dục trực tuyến miễn phí, cung cấp bài giảng video, bài tập tương tác và tài liệu ôn tập cho hàng ngàn học sinh Việt Nam. Với phong cách dạy gần gũi, sáng tạo, thầy luôn khơi dậy niềm đam mê Toán học qua ví dụ đời thường. Được phụ huynh và học sinh yêu mến, thầy là nguồn cảm hứng cho thế hệ giáo viên trẻ.

       

Xem nhiều bài của tác giả : Phan Quang