Đề học sinh giỏi huyện lớp 7 môn Toán năm 2009 2010 phòng GD ĐT Phú Thiện Gia Lai

  • Đề HSG Toán 7

Đề Học Sinh Giỏi Huyện Lớp 7 Môn Toán Năm 2009 – 2010 Phòng GD ĐT Phú Thiện Gia Lai

Sytu xin gửi đến quý thầy, cô giáo và các em học sinh lớp 7 đề Học Sinh Giỏi Huyện Toán lớp 7 năm 2009 – 2010 của Phòng GD&ĐT Phú Thiện – Gia Lai. Đề thi bao gồm đề bài, đáp số, lời giải và thang điểm để giúp các em tự kiểm tra và tự đánh giá kiến thức của mình.

Trong đề thi, có các bài toán như sau:

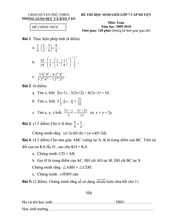
+ Cho tam giác ABC vuông tại A; K là trung điểm của BC. Trên tia đối của tia KA lấy D sao cho KD = KA. a. Chứng minh: CD // AB. b. Gọi H là trung điểm của AC; BH cắt AD tại M; DH cắt BC tại N. Chứng minh rằng: ABH = CDH. c. Chứng minh: HMN cân.

+ Chứng minh rằng số có dạng abcabc luôn chia hết cho 11.

+ Cho tỉ lệ thức d c b a. Chứng minh rằng: (a + 2c)(b + d) = (a + c)(b + 2d).

Đề thi này không chỉ giúp học sinh rèn luyện kỹ năng giải bài toán mà còn đề cao kỹ năng suy luận và chứng minh. Hy vọng rằng đề thi sẽ giúp các em nắm vững kiến thức và chuẩn bị tốt cho kỳ thi HSG sắp tới. Chúc các em thành công!

Đánh giá bài viết cho thầy/cô vui 

0 / 5 0

Your page rank:

Avatar of Phan Quang
       

Về tác giả : Phan Quang

Giáo viên Toán học xuất sắc, sinh năm 1985 tại Hà Nội. Tốt nghiệp Đại học Sư phạm Hà Nội với bằng cử nhân Toán học, thầy có hơn 10 năm kinh nghiệm giảng dạy cấp 2 và ôn thi vào 10. Năm 2024, thầy sáng lập website daygioi.com – nền tảng giáo dục trực tuyến miễn phí, cung cấp bài giảng video, bài tập tương tác và tài liệu ôn tập cho hàng ngàn học sinh Việt Nam. Với phong cách dạy gần gũi, sáng tạo, thầy luôn khơi dậy niềm đam mê Toán học qua ví dụ đời thường. Được phụ huynh và học sinh yêu mến, thầy là nguồn cảm hứng cho thế hệ giáo viên trẻ.

       

Xem nhiều bài của tác giả : Phan Quang