Đề học sinh giỏi huyện lớp 6 môn Toán năm 2014 2015 phòng GD ĐT Nho Quan Ninh Bình

  • Đề HSG Toán 6

Đề học sinh giỏi huyện lớp 6 môn Toán năm 2014 – 2015 phòng GDĐT Nho Quan Ninh Bình

Chào quý thầy cô và các em học sinh, Sytu xin giới thiệu đến mọi người đề học sinh giỏi huyện môn Toán lớp 6 năm học 2014 – 2015 của phòng GD&ĐT Nho Quan – Ninh Bình. Đề thi bao gồm đáp án, lời giải chi tiết và hướng dẫn chấm điểm.

Trích dẫn câu hỏi từ đề học sinh giỏi huyện Toán lớp 6 năm 2014 – 2015 của phòng GD&ĐT Nho Quan – Ninh Bình:

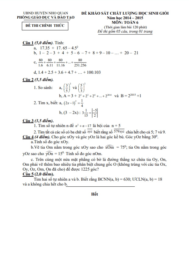
  1. Tìm tất cả các số có ba chữ số xyz biết rằng số 579xyz chia hết cho cả 5, 7 và 9.
  2. Cho góc xOy và góc yOz là hai góc kề bù. Góc yOz bằng 30 độ.
    • Tính số đo góc xOy.
    • Vẽ tia Om nằm trong góc xOy sao cho xOm = 75 độ; tia On nằm trong góc yOz sao cho yOn = 15 độ. Tính số đo góc nOm.
    • Trên cùng một nửa mặt phẳng có bờ là đường thẳng xz chứa tia Oy, On, Om, phải vẽ thêm bao nhiêu tia phân biệt chung gốc O (không trùng với các tia Ox, Oy, Oz, Om, On đã cho) để được tổng cộng 1225 góc?
  3. Tìm hai số tự nhiên a và b. Biết rằng Bội chung nhỏ nhất (a, b) = 630; Ước chung lớn nhất (a, b) = 18 và a không chia hết cho b.

Hy vọng đề thi này sẽ giúp các em học sinh rèn luyện và nâng cao kiến thức, kỹ năng Toán một cách hiệu quả. Chúc các em thành công!

Đánh giá bài viết cho thầy/cô vui 

0 / 5 0

Your page rank:

Avatar of Phan Quang
       

Về tác giả : Phan Quang

Giáo viên Toán học xuất sắc, sinh năm 1985 tại Hà Nội. Tốt nghiệp Đại học Sư phạm Hà Nội với bằng cử nhân Toán học, thầy có hơn 10 năm kinh nghiệm giảng dạy cấp 2 và ôn thi vào 10. Năm 2024, thầy sáng lập website daygioi.com – nền tảng giáo dục trực tuyến miễn phí, cung cấp bài giảng video, bài tập tương tác và tài liệu ôn tập cho hàng ngàn học sinh Việt Nam. Với phong cách dạy gần gũi, sáng tạo, thầy luôn khơi dậy niềm đam mê Toán học qua ví dụ đời thường. Được phụ huynh và học sinh yêu mến, thầy là nguồn cảm hứng cho thế hệ giáo viên trẻ.

       

Xem nhiều bài của tác giả : Phan Quang