Đề học sinh giỏi cấp tỉnh Toán THCS năm 2022 2023 sở GD ĐT Quảng Ninh

  • Đề HSG Toán 9

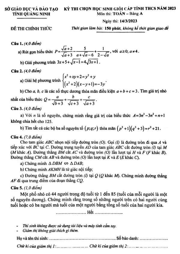
Đề thi Học sinh giỏi cấp tỉnh Toán THCS năm 2022 – 2023 Quảng Ninh

Chào các thầy cô và các em học sinh lớp 9! Đây là đề thi chọn học sinh giỏi cấp tỉnh môn Toán Trung học Cơ sở năm học 2022 – 2023 do Sở Giáo dục và Đào tạo tỉnh Quảng Ninh tổ chức. Kỳ thi sẽ diễn ra vào thứ Ba ngày 14 tháng 03 năm 2023.

Dưới đây là một số câu hỏi trong đề thi:

  1. Với n là số nguyên, chứng minh rằng giá trị của biểu thức A = 3n3 – 3n2 + n + 1 không chia hết cho 125.
  2. Tìm tất cả các bộ ba số nguyên tố (p, q, r) thỏa mãn (p2 + 1)(q2 + 3) = r2 + 21.
  3. Cho tam giác ABC nhọn nội tiếp đường tròn (O). Gọi (I) là đường tròn đi qua A và tiếp xúc với BC tại C. Đường trung tuyến AD của tam giác ABC cắt đường tròn (I) tại M. Đường thẳng BM cắt AC và đường tròn (O) lần lượt tại H và F. Đường thẳng CM cắt AB và đường tròn (O) lần lượt tại K và E.

    1. Chứng minh DBM đồng dạng DAB.
    2. Chứng minh AKMH là tứ giác nội tiếp.
    3. Đường thẳng BM cắt đường tròn (I) tại Q. Chứng minh đường thẳng AF đi qua trung điểm của đoạn thẳng CQ.
  4. Một phố nhỏ có 44 người trong độ tuổi từ 1 đến 85. Chứng minh rằng trong số những người trên có hai người cùng tuổi hoặc có ba người mà tuổi của một người bằng tổng số tuổi của hai người kia.

Hy vọng các em sẽ ôn tập và làm bài thi tốt. Chúc các em thành công!

Đánh giá bài viết cho thầy/cô vui 

0 / 5 0

Your page rank:

Avatar of Phan Quang
       

Về tác giả : Phan Quang

Giáo viên Toán học xuất sắc, sinh năm 1985 tại Hà Nội. Tốt nghiệp Đại học Sư phạm Hà Nội với bằng cử nhân Toán học, thầy có hơn 10 năm kinh nghiệm giảng dạy cấp 2 và ôn thi vào 10. Năm 2024, thầy sáng lập website daygioi.com – nền tảng giáo dục trực tuyến miễn phí, cung cấp bài giảng video, bài tập tương tác và tài liệu ôn tập cho hàng ngàn học sinh Việt Nam. Với phong cách dạy gần gũi, sáng tạo, thầy luôn khơi dậy niềm đam mê Toán học qua ví dụ đời thường. Được phụ huynh và học sinh yêu mến, thầy là nguồn cảm hứng cho thế hệ giáo viên trẻ.

       

Xem nhiều bài của tác giả : Phan Quang