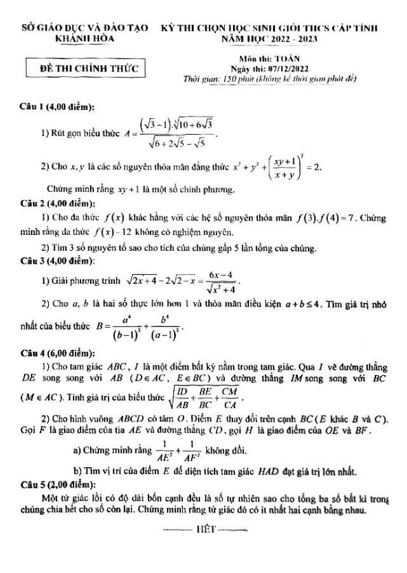
Đề học sinh giỏi cấp tỉnh Toán THCS năm 2022 2023 sở GD ĐT Khánh Hòa

  • Đề HSG Toán 9

GIỚI THIỆU ĐỀ HỌC SINH GIỎI CẤP TỈNH TOÁN THCS NĂM 2022-2023 SỞ GD ĐT KHÁNH HÒA

Sytu xin gửi đến quý thầy, cô giáo và các em học sinh lớp 9 đề thi chọn học sinh giỏi cấp tỉnh môn Toán THCS năm học 2022 – 2023 sở Giáo dục và Đào tạo tỉnh Khánh Hòa. Kỳ thi sẽ diễn ra vào ngày 07 tháng 12 năm 2022, đây là cơ hội cho các em học sinh thể hiện tài năng và kiến thức của mình trong môn Toán. Hãy chuẩn bị kỹ lưỡng và tự tin tham dự để có cơ hội bước tiếp trên con đường học tập và phát triển cá nhân. Chúc các em học sinh thành công trong kỳ thi sắp tới!

Đánh giá bài viết cho thầy/cô vui 

0 / 5 0

Your page rank:

Avatar of Phan Quang
       

Về tác giả : Phan Quang

Giáo viên Toán học xuất sắc, sinh năm 1985 tại Hà Nội. Tốt nghiệp Đại học Sư phạm Hà Nội với bằng cử nhân Toán học, thầy có hơn 10 năm kinh nghiệm giảng dạy cấp 2 và ôn thi vào 10. Năm 2024, thầy sáng lập website daygioi.com – nền tảng giáo dục trực tuyến miễn phí, cung cấp bài giảng video, bài tập tương tác và tài liệu ôn tập cho hàng ngàn học sinh Việt Nam. Với phong cách dạy gần gũi, sáng tạo, thầy luôn khơi dậy niềm đam mê Toán học qua ví dụ đời thường. Được phụ huynh và học sinh yêu mến, thầy là nguồn cảm hứng cho thế hệ giáo viên trẻ.

       

Xem nhiều bài của tác giả : Phan Quang