Đề học sinh giỏi cấp tỉnh Toán THCS năm 2022 2023 sở GD ĐT Hà Giang

  • Đề HSG Toán 9

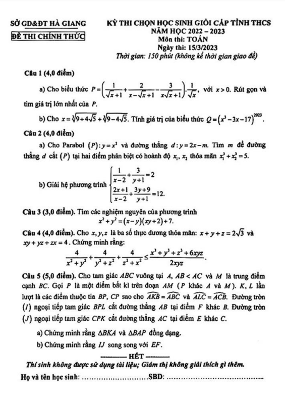
Đề thi học sinh giỏi Toán THCS cấp tỉnh Hà Giang năm 2022-2023

Xin chào quý thầy cô giáo và các em học sinh lớp 9! Hôm nay, chúng ta sẽ cùng nhau tìm hiểu về đề thi chọn học sinh giỏi cấp tỉnh môn Toán lớp 9 THCS năm học 2022 – 2023 của sở Giáo dục và Đào tạo tỉnh Hà Giang.

Đề thi bao gồm các bài toán thú vị và thách thức để kiểm tra kiến thức và kỹ năng của các em. Dưới đây là một số câu hỏi trong đề thi:

1. Cho Parabol (P): y = x2 và đường thẳng d: y = 2x – m. Hãy tìm giá trị của m sao cho đường thẳng d cắt parabol (P) tại hai điểm phân biệt với hoành độ x1, x2 thỏa mãn x12 + x22 = 5.

2. Cho x, y, z là ba số thực dương thỏa mãn: x + y + z = 23 và xy + yz + zx = 4. Hãy chứng minh rằng?

3. Trong tam giác ABC vuông tại A, với AB
a) Tam giác BKA và BAP đồng dạng.
b) Đường tròn IJ song song với đường FE.

Hy vọng đề thi này sẽ giúp các em học sinh ôn tập và nâng cao kiến thức Toán của mình. Chúc quý thầy cô giáo và các em học sinh một kỳ thi thành công!

Đánh giá bài viết cho thầy/cô vui 

0 / 5 0

Your page rank:

Avatar of Phan Quang
       

Về tác giả : Phan Quang

Giáo viên Toán học xuất sắc, sinh năm 1985 tại Hà Nội. Tốt nghiệp Đại học Sư phạm Hà Nội với bằng cử nhân Toán học, thầy có hơn 10 năm kinh nghiệm giảng dạy cấp 2 và ôn thi vào 10. Năm 2024, thầy sáng lập website daygioi.com – nền tảng giáo dục trực tuyến miễn phí, cung cấp bài giảng video, bài tập tương tác và tài liệu ôn tập cho hàng ngàn học sinh Việt Nam. Với phong cách dạy gần gũi, sáng tạo, thầy luôn khơi dậy niềm đam mê Toán học qua ví dụ đời thường. Được phụ huynh và học sinh yêu mến, thầy là nguồn cảm hứng cho thế hệ giáo viên trẻ.

       

Xem nhiều bài của tác giả : Phan Quang