Đề học sinh giỏi cấp tỉnh lớp 9 môn Toán năm 2022 2023 sở GD ĐT Lạng Sơn

  • Đề HSG Toán 9

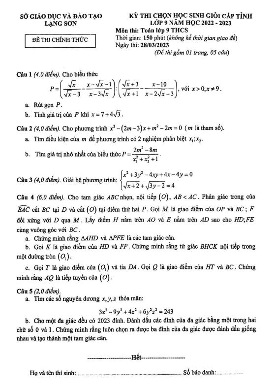
Đề học sinh giỏi Toán lớp 9 cấp tỉnh sở GD&ĐT Lạng Sơn

Chào đón quý thầy cô và các em học sinh lớp 9! Đề thi chọn học sinh giỏi Toán cấp tỉnh năm học 2022 – 2023 sở GD&ĐT Lạng Sơn đã được công bố. Hãy cùng Sytu khám phá những bài toán thú vị sau đây:

1. Cho tam giác ABC nhọn, nội tiếp (O), AB

2. Tìm các số nguyên dương x, y, z thỏa mãn: 3x² – 9y² + 4z² + 6y²z² = 243.

3. Trong một đa giác đều có 2023 đỉnh, đánh dấu các đỉnh bằng chữ số 0 hoặc 1. Chứng minh rằng luôn chọn ra được ba đỉnh giống nhau tạo thành tam giác cân.

Hãy cùng thử sức và rèn luyện kỹ năng giải bài toán của mình qua đề thi học sinh giỏi Toán lớp 9 cấp tỉnh. Chúc các em đạt kết quả cao trong kỳ thi sắp tới!

Đánh giá bài viết cho thầy/cô vui 

0 / 5 0

Your page rank:

Avatar of Phan Quang
       

Về tác giả : Phan Quang

Giáo viên Toán học xuất sắc, sinh năm 1985 tại Hà Nội. Tốt nghiệp Đại học Sư phạm Hà Nội với bằng cử nhân Toán học, thầy có hơn 10 năm kinh nghiệm giảng dạy cấp 2 và ôn thi vào 10. Năm 2024, thầy sáng lập website daygioi.com – nền tảng giáo dục trực tuyến miễn phí, cung cấp bài giảng video, bài tập tương tác và tài liệu ôn tập cho hàng ngàn học sinh Việt Nam. Với phong cách dạy gần gũi, sáng tạo, thầy luôn khơi dậy niềm đam mê Toán học qua ví dụ đời thường. Được phụ huynh và học sinh yêu mến, thầy là nguồn cảm hứng cho thế hệ giáo viên trẻ.

       

Xem nhiều bài của tác giả : Phan Quang