Đề học sinh giỏi cấp tỉnh lớp 9 môn Toán năm 2022 2023 sở GD ĐT Bắc Ninh

  • Đề HSG Toán 9

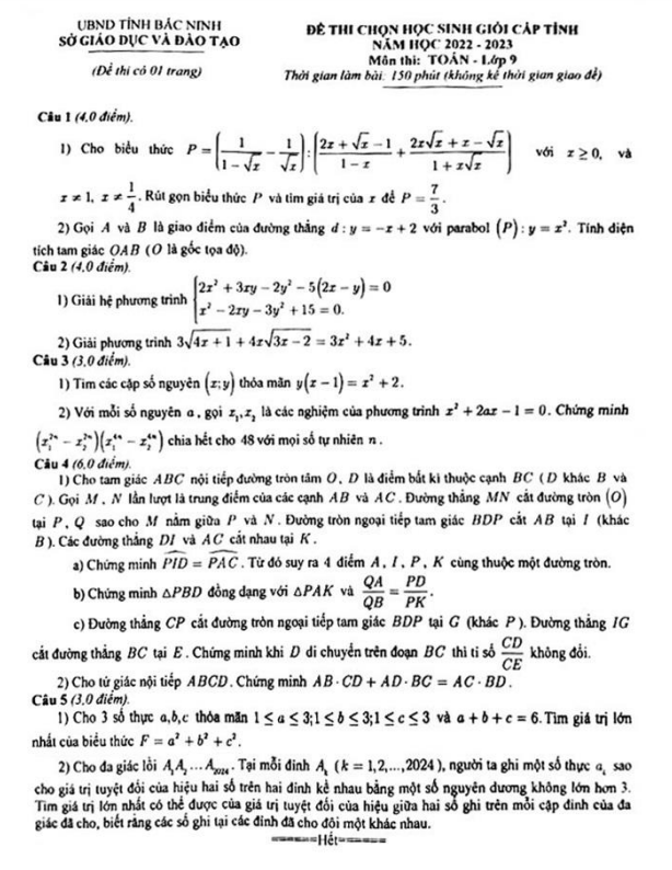
Đề thi học sinh giỏi Toán lớp 9 cấp tỉnh Bắc Ninh năm 2022-2023

Chào đón quý thầy, cô và các em học sinh lớp 9! Sytu hân hạnh mang đến đề thi chọn học sinh giỏi cấp tỉnh môn Toán lớp 9 năm học 2022-2023 của sở GD&ĐT Bắc Ninh. Kỳ thi sẽ diễn ra vào thứ Sáu, ngày 10 tháng 02 năm 2023.

Đánh giá bài viết cho thầy/cô vui 

0 / 5 0

Your page rank:

Avatar of Phan Quang
       

Về tác giả : Phan Quang

Giáo viên Toán học xuất sắc, sinh năm 1985 tại Hà Nội. Tốt nghiệp Đại học Sư phạm Hà Nội với bằng cử nhân Toán học, thầy có hơn 10 năm kinh nghiệm giảng dạy cấp 2 và ôn thi vào 10. Năm 2024, thầy sáng lập website daygioi.com – nền tảng giáo dục trực tuyến miễn phí, cung cấp bài giảng video, bài tập tương tác và tài liệu ôn tập cho hàng ngàn học sinh Việt Nam. Với phong cách dạy gần gũi, sáng tạo, thầy luôn khơi dậy niềm đam mê Toán học qua ví dụ đời thường. Được phụ huynh và học sinh yêu mến, thầy là nguồn cảm hứng cho thế hệ giáo viên trẻ.

       

Xem nhiều bài của tác giả : Phan Quang