Đề học kì 2 (HK2) lớp 11 môn Toán năm 2022 2023 trường THPT Nguyễn Thị Minh Khai TP HCM

  • Đề HK2 Toán 11

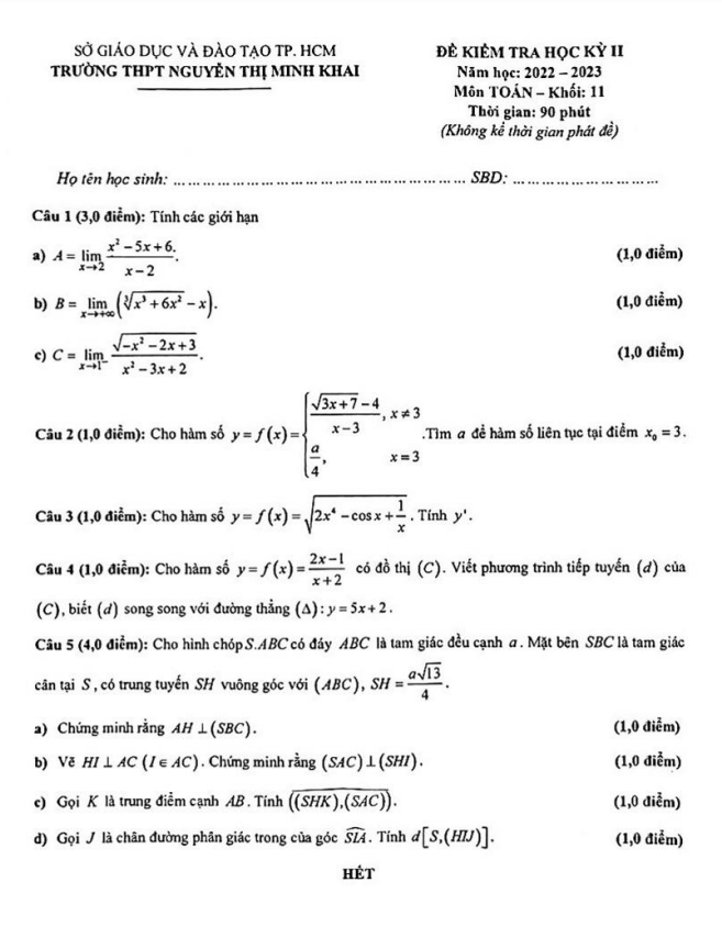
Đề học kì 2 Toán lớp 11 năm 2022 – 2023 trường THPT Nguyễn Thị Minh Khai

Chúc mừng quý thầy cô và các em học sinh lớp 11 trường THPT Nguyễn Thị Minh Khai đã hoàn thành kỳ thi cuối học kỳ 2 môn Toán năm học 2022 – 2023 tại thành phố Hồ Chí Minh. Đề thi được thiết kế dưới dạng tự luận, bao gồm đáp án và hướng dẫn chấm điểm.

Trích đề học kỳ 2 Toán lớp 11 năm 2022 – 2023 trường THPT Nguyễn Thị Minh Khai:

  • Cho hàm số (f(x) = 2x^2 + 1), có đồ thị (C). Viết phương trình tiếp tuyến (d) của (C) biết (d) song song với đường thẳng (5x + 2y = 0).
  • Hình chóp (SABC) có đáy (ABC) là tam giác đều cạnh (a). Mặt bên (SBC) là tam giác cân tại (S), trung tuyến (SH) vuông góc (ABC) và (SH = frac{13}{4}a).
  • Cho hàm số (f(x) = 7x^3 + 4x^2 + 3x + a). Tìm (a) để hàm số liên tục tại điểm (x = 3).

Hy vọng đề thi sẽ giúp các em học sinh ôn tập và kiểm tra kiến thức một cách hiệu quả. Chúc các em đạt kết quả cao trong kỳ thi này!

Đánh giá bài viết cho thầy/cô vui 

0 / 5 0

Your page rank:

Avatar of Phan Quang
       

Về tác giả : Phan Quang

Giáo viên Toán học xuất sắc, sinh năm 1985 tại Hà Nội. Tốt nghiệp Đại học Sư phạm Hà Nội với bằng cử nhân Toán học, thầy có hơn 10 năm kinh nghiệm giảng dạy cấp 2 và ôn thi vào 10. Năm 2024, thầy sáng lập website daygioi.com – nền tảng giáo dục trực tuyến miễn phí, cung cấp bài giảng video, bài tập tương tác và tài liệu ôn tập cho hàng ngàn học sinh Việt Nam. Với phong cách dạy gần gũi, sáng tạo, thầy luôn khơi dậy niềm đam mê Toán học qua ví dụ đời thường. Được phụ huynh và học sinh yêu mến, thầy là nguồn cảm hứng cho thế hệ giáo viên trẻ.

       

Xem nhiều bài của tác giả : Phan Quang