Đề học kì 1 (HK1) lớp 9 môn Toán năm 2023 2024 phòng GD ĐT Hai Bà Trưng Hà Nội

  • Đề HK1 Toán 9

Đề học kì 1 Toán lớp 9 năm 2023-2024 phòng GD ĐT Hai Bà Trưng Hà Nội

Trong Đề học kì 1 Toán lớp 9 năm 2023-2024 của phòng Giáo dục và Đào tạo Hai Bà Trưng, Hà Nội, có một số bài tập đặc biệt quan trọng và thú vị. Hãy cùng chúng tôi điểm qua một số câu hỏi đáng chú ý trong đề thi này.

1. Bài toán về hàm số y = (m – 1)x + 3, với m là tham số. Học sinh được yêu cầu vẽ đồ thị hàm số với m = 2 và tìm điều kiện để đường thẳng này cắt trục Ox tại một điểm có hoành độ là số âm.

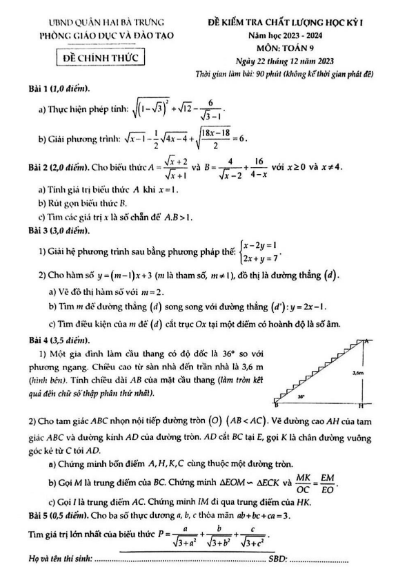
2. Bài toán về cầu thang có độ dốc 36 độ so với phương ngang. Học sinh cần tính chiều dài AB của mặt cầu thang khi biết chiều cao từ sàn nhà đến trần nhà là 3,6m.

3. Bài toán về tam giác ABC nổi tiếp đường tròn (O) và các điểm đặc biệt trong tam giác này. Học sinh cần chứng minh các mối quan hệ giữa các điểm A, H, K, C trên đường tròn, cũng như chứng minh tính đồng dạng giữa các tam giác trong bài toán.

Đây là những bài toán mang tính chất ứng dụng cao, giúp học sinh rèn luyện kỹ năng tư duy logic và tính toán trong môn Toán. Chúc các em học sinh lớp 9 thành công trong kỳ thi này!

Đánh giá bài viết cho thầy/cô vui 

0 / 5 0

Your page rank:

Avatar of Phan Quang
       

Về tác giả : Phan Quang

Giáo viên Toán học xuất sắc, sinh năm 1985 tại Hà Nội. Tốt nghiệp Đại học Sư phạm Hà Nội với bằng cử nhân Toán học, thầy có hơn 10 năm kinh nghiệm giảng dạy cấp 2 và ôn thi vào 10. Năm 2024, thầy sáng lập website daygioi.com – nền tảng giáo dục trực tuyến miễn phí, cung cấp bài giảng video, bài tập tương tác và tài liệu ôn tập cho hàng ngàn học sinh Việt Nam. Với phong cách dạy gần gũi, sáng tạo, thầy luôn khơi dậy niềm đam mê Toán học qua ví dụ đời thường. Được phụ huynh và học sinh yêu mến, thầy là nguồn cảm hứng cho thế hệ giáo viên trẻ.

       

Xem nhiều bài của tác giả : Phan Quang