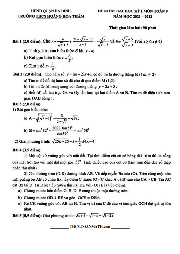
Đề học kì 1 (HK1) lớp 9 môn Toán năm 2021 2022 trường THCS Hoàng Hoa Thám Hà Nội

  • Đề HK1 Toán 9

Đề học kì 1 (HK1) lớp 9 môn Toán năm 2021 2022 trường THCS Hoàng Hoa Thám Hà Nội

Trong bài viết này, Sytu muốn trình bày đến quý thầy cô giáo và các em học sinh lớp 9 về đề kiểm tra học kỳ 1 môn Toán năm học 2021-2022 tại trường THCS Hoàng Hoa Thám, quận Ba Đình, thành phố Hà Nội. Kỳ thi sẽ diễn ra vào ngày … tháng 12 năm 2021. Một cơ hội để các em thể hiện kiến thức và kỹ năng trong môn học quan trọng này, đồng thời là cơ hội để rèn luyện và phấn đấu hơn nữa trong học tập.

Đánh giá bài viết cho thầy/cô vui 

0 / 5 0

Your page rank:

Avatar of Phan Quang
       

Về tác giả : Phan Quang

Giáo viên Toán học xuất sắc, sinh năm 1985 tại Hà Nội. Tốt nghiệp Đại học Sư phạm Hà Nội với bằng cử nhân Toán học, thầy có hơn 10 năm kinh nghiệm giảng dạy cấp 2 và ôn thi vào 10. Năm 2024, thầy sáng lập website daygioi.com – nền tảng giáo dục trực tuyến miễn phí, cung cấp bài giảng video, bài tập tương tác và tài liệu ôn tập cho hàng ngàn học sinh Việt Nam. Với phong cách dạy gần gũi, sáng tạo, thầy luôn khơi dậy niềm đam mê Toán học qua ví dụ đời thường. Được phụ huynh và học sinh yêu mến, thầy là nguồn cảm hứng cho thế hệ giáo viên trẻ.

       

Xem nhiều bài của tác giả : Phan Quang