Đề học kì 1 (HK1) lớp 8 môn Toán năm 2022 2023 phòng GD ĐT Thạch Hà Hà Tĩnh

  • Đề HK1 Toán 8

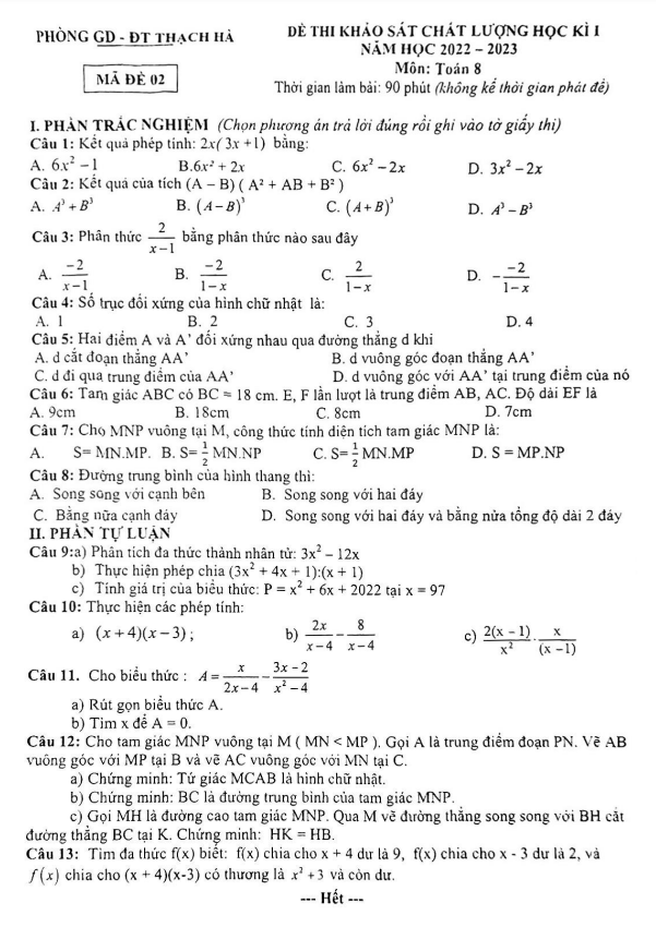
Đề học kì 1 Toán lớp 8 năm 2022 – 2023 phòng GD&ĐT Thạch Hà – Hà Tĩnh

Sytu xin giới thiệu đến quý thầy cô và các em học sinh lớp 8 đề thi khảo sát chất lượng học kỳ 1 môn Toán lớp 8 năm học 2022 – 2023 của phòng Giáo dục và Đào tạo huyện Thạch Hà, tỉnh Hà Tĩnh.

Đề thi mã đề 02 bao gồm 8 câu trắc nghiệm và 5 câu tự luận, thời gian làm bài 90 phút. Dưới đây là một số câu hỏi trích dẫn từ đề thi:

  1. Hai điểm A và A’ đối xứng nhau qua đường thẳng d khi:
  • A. d cắt đoạn thẳng AA’
  • B. d vuông góc đoạn thẳng AA’
  • C. d đi qua trung điểm của AA’
  • D. d vuông góc với AA’ tại trung điểm của nó
  • Đường trung bình của hình thang thì:
    • A. Song song với cạnh bên
    • B. Bằng nữa cạnh đáy
    • C. Song song với hai đáy
    • D. Song song với hai đáy và bằng nửa tổng độ dài hai đáy
  • Cho tam giác MNP vuông tại M (MN

    Đề thi này sẽ giúp các em học sinh lớp 8 ôn tập kiến thức và chuẩn bị tốt cho kỳ thi học kỳ 1. Chúc quý thầy cô và các em có kỳ thi thành công!

  • Đánh giá bài viết cho thầy/cô vui 

    0 / 5 0

    Your page rank:

    Avatar of Phan Quang
           

    Về tác giả : Phan Quang

    Giáo viên Toán học xuất sắc, sinh năm 1985 tại Hà Nội. Tốt nghiệp Đại học Sư phạm Hà Nội với bằng cử nhân Toán học, thầy có hơn 10 năm kinh nghiệm giảng dạy cấp 2 và ôn thi vào 10. Năm 2024, thầy sáng lập website daygioi.com – nền tảng giáo dục trực tuyến miễn phí, cung cấp bài giảng video, bài tập tương tác và tài liệu ôn tập cho hàng ngàn học sinh Việt Nam. Với phong cách dạy gần gũi, sáng tạo, thầy luôn khơi dậy niềm đam mê Toán học qua ví dụ đời thường. Được phụ huynh và học sinh yêu mến, thầy là nguồn cảm hứng cho thế hệ giáo viên trẻ.

           

    Xem nhiều bài của tác giả : Phan Quang