Đề cương ôn tập thi giữa học kì 1 (HK1) lớp 9 môn Toán năm 2021 2022 trường THCS Trưng Vương Hà Nội

  • Tài liệu Toán 9

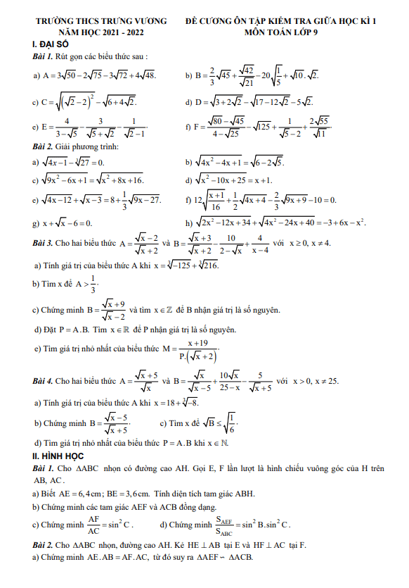
Đề cương ôn tập toán lớp 9 trường THCS Trưng Vương Hà Nội

Đề cương ôn tập thi giữa kì 1 Toán lớp 9 năm 2021 – 2022 trường THCS Trưng Vương – Hà Nội là tài liệu học tập quan trọng giúp học sinh chuẩn bị cho kỳ thi giữa học kỳ 1. Đề cương bao gồm các bài tập cơ bản và nâng cao để rèn luyện kỹ năng giải toán của học sinh.

Trong đề cương ôn tập, có các bài toán thú vị như sau:

1. Một người lái đò muốn chèo qua một khúc sông từ A sang B, nhưng do lái đò không giỏi toán, nên đò bị dòng nước đẩy xiên và cập bến ở vị trí C. Học sinh cần tìm góc lệch mà dòng nước đã đẩy chiếc đò, đề bài cung cấp thông tin về chiều rộng sông và khoảng cách mà đò bị đẩy.

2. Một chiếc máy bay cất cánh và bay lên với một góc độ so với mặt đất, học sinh cần tính độ cao của máy bay sau một khoảng thời gian nhất định, biết vận tốc và góc độ của máy bay.

3. Về một con robot di chuyển từ A đến B trên mặt phẳng, học sinh cần tính độ dài đoạn đường và thời gian mà robot rẽ vuông góc tại các điểm trên đường đi.

Đề cương ôn tập này giúp học sinh thực hành và củng cố kiến thức Toán ở mức độ trung bình đến khó, chuẩn bị tốt cho kỳ thi giữa học kỳ 1. Hãy cùng học sinh lớp 9 trường THCS Trưng Vương Hà Nội rèn luyện và vượt qua thách thức!

Đánh giá bài viết cho thầy/cô vui 

0 / 5 0

Your page rank:

Avatar of Phan Quang
       

Về tác giả : Phan Quang

Giáo viên Toán học xuất sắc, sinh năm 1985 tại Hà Nội. Tốt nghiệp Đại học Sư phạm Hà Nội với bằng cử nhân Toán học, thầy có hơn 10 năm kinh nghiệm giảng dạy cấp 2 và ôn thi vào 10. Năm 2024, thầy sáng lập website daygioi.com – nền tảng giáo dục trực tuyến miễn phí, cung cấp bài giảng video, bài tập tương tác và tài liệu ôn tập cho hàng ngàn học sinh Việt Nam. Với phong cách dạy gần gũi, sáng tạo, thầy luôn khơi dậy niềm đam mê Toán học qua ví dụ đời thường. Được phụ huynh và học sinh yêu mến, thầy là nguồn cảm hứng cho thế hệ giáo viên trẻ.

       

Xem nhiều bài của tác giả : Phan Quang