Đề chọn học sinh giỏi thành phố lớp 12 môn Toán năm 2021 2022 sở GD ĐT Hải Phòng

  • Đề HSG Toán 12

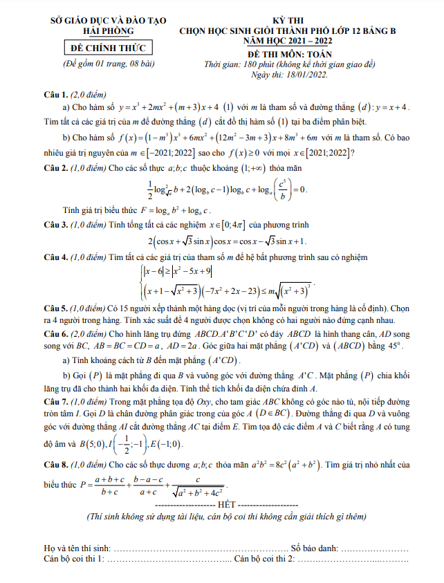
Đề chọn học sinh giỏi thành phố lớp 12 môn Toán năm 2021 – 2022 của sở GD&ĐT Hải Phòng đã diễn ra vào ngày Thứ Ba, 18 tháng 01 năm 2022. Kỳ thi này gồm 8 bài toán dạng tự luận, dành cho học sinh làm trong thời gian 180 phút. Một trong những bài toán trong đề thi là “Có 15 người xếp thành một hàng dọc, bạn cần chọn ra 4 người từ hàng đó sao cho không có hai người nào đứng cạnh nhau. Bạn cần tính xác suất để 4 người được chọn thỏa điều kiện đó.” Bài toán khác đề cập đến hình lăng trụ đứng ABCD với đáy là hình thang cân, AD song song với BC. Góc giữa hai mặt phẳng ACD và ABCD bằng 45 độ. Bạn cần tính khoảng cách từ điểm B đến mặt phẳng ACD và sau đó tìm thể tích khối đa diện chứa đỉnh A của khối lăng trụ đã cho. Cuối cùng, bài toán còn đề cập đến tam giác ABC nội tiếp trong đường tròn tâm I, có điểm D là chân đường phân giác góc ABC. Từ đó, bạn cần tìm tọa độ của các điểm A và C khi biết điểm A có tung độ âm và điểm E trên đường thẳng AC thoả mãn điều kiện giữa các điểm A, B, I và E. Như vậy, đề thi chọn học sinh giỏi thành phố lớp 12 môn Toán năm 2021 – 2022 của sở GD&ĐT Hải Phòng chứa đựng những bài toán thú vị và đa dạng, giúp học sinh thể hiện khả năng tư duy và giải quyết vấn đề của mình.

Đánh giá bài viết cho thầy/cô vui 

0 / 5 0

Your page rank:

Avatar of Phan Quang
       

Về tác giả : Phan Quang

Giáo viên Toán học xuất sắc, sinh năm 1985 tại Hà Nội. Tốt nghiệp Đại học Sư phạm Hà Nội với bằng cử nhân Toán học, thầy có hơn 10 năm kinh nghiệm giảng dạy cấp 2 và ôn thi vào 10. Năm 2024, thầy sáng lập website daygioi.com – nền tảng giáo dục trực tuyến miễn phí, cung cấp bài giảng video, bài tập tương tác và tài liệu ôn tập cho hàng ngàn học sinh Việt Nam. Với phong cách dạy gần gũi, sáng tạo, thầy luôn khơi dậy niềm đam mê Toán học qua ví dụ đời thường. Được phụ huynh và học sinh yêu mến, thầy là nguồn cảm hứng cho thế hệ giáo viên trẻ.

       

Xem nhiều bài của tác giả : Phan Quang