Đề chọn học sinh giỏi lớp 12 môn Toán năm 2022 2023 sở GD ĐT Bà Rịa Vũng Tàu

  • Đề HSG Toán 12

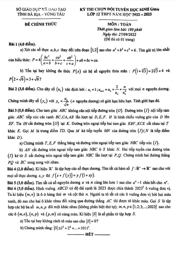
Đề thi chọn học sinh giỏi Toán lớp 12 năm 2022 – 2023

Xin chào quý thầy cô và các bạn học sinh lớp 12! Đã đến lúc chúng ta cùng khám phá bộ đề thi chọn đội tuyển học sinh giỏi môn Toán lớp 12 THPT năm học 2022 – 2023 của sở Giáo dục và Đào tạo tỉnh Bà Rịa – Vũng Tàu. Kỳ thi sẽ diễn ra vào ngày 27 tháng 09 năm 2022.

Đề thi bao gồm các câu hỏi thú vị và thách thức đến tất cả các em học sinh. Hãy cùng xem một số ví dụ trong đề thi này:

  • Cho dãy số (un) xác định bởi u1 = 1; un+1 = un + 2/un + n/un^4 với mọi n nguyên dương. Hãy chứng minh dãy số (yn) với yn = un/n (n nguyên dương) có giới hạn hữu hạn. Hãy tính giới hạn đó.

  • Trong tam giác ABC không cân nội tiếp đường tròn (O), hãy chứng minh rằng hai đường thẳng PQ và BC là song song với nhau.

  • Hình vuông ABCD có độ dài cạnh là 2023 được chia thành 2023^2 ô vuông đơn vị. Bạn hãy giải quyết câu hỏi liên quan đến việc tô màu các ô vuông sao cho các điều kiện đề bài thỏa mãn.

Đây chỉ là một phần nhỏ trong bộ đề thi. Hy vọng rằng các bạn sẽ thấy thú vị và học hỏi nhiều từ việc giải các câu hỏi này. Chúc các em thành công trong kỳ thi sắp tới!

Đánh giá bài viết cho thầy/cô vui 

0 / 5 0

Your page rank:

Avatar of Phan Quang
       

Về tác giả : Phan Quang

Giáo viên Toán học xuất sắc, sinh năm 1985 tại Hà Nội. Tốt nghiệp Đại học Sư phạm Hà Nội với bằng cử nhân Toán học, thầy có hơn 10 năm kinh nghiệm giảng dạy cấp 2 và ôn thi vào 10. Năm 2024, thầy sáng lập website daygioi.com – nền tảng giáo dục trực tuyến miễn phí, cung cấp bài giảng video, bài tập tương tác và tài liệu ôn tập cho hàng ngàn học sinh Việt Nam. Với phong cách dạy gần gũi, sáng tạo, thầy luôn khơi dậy niềm đam mê Toán học qua ví dụ đời thường. Được phụ huynh và học sinh yêu mến, thầy là nguồn cảm hứng cho thế hệ giáo viên trẻ.

       

Xem nhiều bài của tác giả : Phan Quang