-
Đề HSG Toán 12
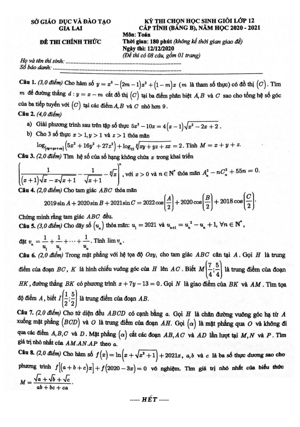
Đề chọn học sinh giỏi Toán lớp 12 năm 2020 – 2021 sở GD&ĐT Gia Lai (Bảng B)
Đề chọn học sinh giỏi Toán lớp 12 năm 2020 – 2021 sở GD&ĐT Gia Lai (Bảng B) bao gồm 8 bài toán dạng tự luận, được thực hiện trong thời gian 180 phút. Kỳ thi sẽ diễn ra vào ngày 12 tháng 12 năm 2020.
Trích dẫn đề chọn học sinh giỏi Toán lớp 12 năm 2020 – 2021 sở GD&ĐT Gia Lai (Bảng B) bao gồm các câu hỏi sau:
-
Cho dãy số ( { u_n } ) thỏa mãn: ( u_1 = 2021 ) và ( u_{n+1} = u_n^2 – u_n + 1 ) với mọi ( n ) thuộc ( mathbb{N}^* ). Đặt ( v_n = frac{1}{u_1} + frac{1}{u_2} + dots + frac{1}{u_n} ). Hãy tính ( lim_{n to infty} v_n ).
-
Trong mặt phẳng với hệ tọa độ Oxy, cho tam giác ( triangle ABC ) cân tại A. Gọi H là trung điểm của đoạn BO, K là hình chiếu vuông góc của H lên AC. Biết M ( left(frac{5}{4}, frac{7}{4}right) ) là trung điểm của đoạn HK, đường thẳng BK có phương trình ( x + 7y – 13 = 0 ). Gọi N là giao điểm của BK và AM. Hãy tìm tọa độ điểm A, biết I ( left(frac{1}{2}, frac{5}{2}right) ) là trung điểm của đoạn AB.
-
Cho tứ diện đều ABCD có cạnh bằng a. Gọi H là chân đường vuông góc hạ từ A xuống mặt phẳng ( (BCD) ) và O là trung điểm của đoạn AH. Gọi ( (alpha) ) là mặt phẳng qua O và không đi qua các điểm A, B, C và D. Mặt phẳng ( (alpha) ) cắt các đoạn AB, AC và AD lần lượt tại M, N và P. Hãy tìm giá trị nhỏ nhất của ( AM cdot AN cdot AP ) theo a.
Đây là những câu hỏi thú vị và đầy thách thức, chắc chắn sẽ là cơ hội tốt để thí sinh thể hiện khả năng giải quyết vấn đề toán học của mình.