Đề chọn đội tuyển Toán thi HSG thành phố năm 2023 trường chuyên Nguyễn Huệ Hà Nội

  • Đề HSG Toán 12

Chọn đội tuyển Toán thi HSG thành phố năm 2023 trường chuyên Nguyễn Huệ Hà Nội

Sytu xin gửi đến quý thầy cô và các em học sinh đề thi chọn đội tuyển dự thi học sinh giỏi cấp thành phố môn Toán năm học 2022 – 2023 tại trường THPT chuyên Nguyễn Huệ, thành phố Hà Nội.

Đề thi chọn đội tuyển Toán thi HSG thành phố năm 2023 trường chuyên Nguyễn Huệ – Hà Nội bao gồm các câu hỏi sau:

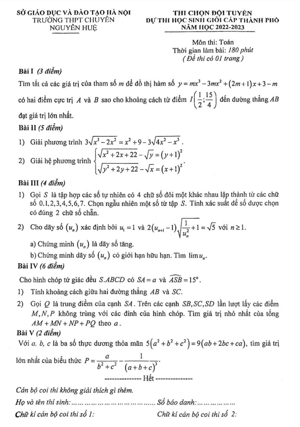
  1. Tìm tất cả các giá trị của tham số m để đồ thị hàm số y = mx3 – 3mx2 + (2m + 1)x + 3 – m có hai điểm cực trị A và B sao cho khoảng cách từ điểm I(1/2;15/4) đến đường thẳng AB đạt giá trị lớn nhất.
  2. Gọi S là tập hợp các số tự nhiên có 4 chữ số đôi một khác nhau lập thành từ các chữ số 0, 1, 2, 3, 4, 5, 6, 7. Chọn ngẫu nhiên một số từ tập S. Tính xác suất để số được chọn có đúng 2 chữ số chẵn.
  3. Cho hình chóp tứ giác đều S.ABCD có SA = a và ASB = 15°.
    • Tính khoảng cách giữa hai đường thẳng AB và SC.
    • Gọi Q là trung điểm của cạnh SA. Trên các cạnh SB, SC, SD lần lượt lấy các điểm M, N, P không trùng với các đỉnh của hình chóp. Tìm giá trị nhỏ nhất của tổng AM + MN + NP + PQ theo a.

Các em học sinh hãy cố gắng giải quyết những câu hỏi thú vị và phức tạp này để chuẩn bị cho kỳ thi HSG thành phố năm 2023. Chúc các em thành công!

Đánh giá bài viết cho thầy/cô vui 

0 / 5 0

Your page rank:

Avatar of Phan Quang
       

Về tác giả : Phan Quang

Giáo viên Toán học xuất sắc, sinh năm 1985 tại Hà Nội. Tốt nghiệp Đại học Sư phạm Hà Nội với bằng cử nhân Toán học, thầy có hơn 10 năm kinh nghiệm giảng dạy cấp 2 và ôn thi vào 10. Năm 2024, thầy sáng lập website daygioi.com – nền tảng giáo dục trực tuyến miễn phí, cung cấp bài giảng video, bài tập tương tác và tài liệu ôn tập cho hàng ngàn học sinh Việt Nam. Với phong cách dạy gần gũi, sáng tạo, thầy luôn khơi dậy niềm đam mê Toán học qua ví dụ đời thường. Được phụ huynh và học sinh yêu mến, thầy là nguồn cảm hứng cho thế hệ giáo viên trẻ.

       

Xem nhiều bài của tác giả : Phan Quang