Đề chọn đội tuyển thi HSG Toán Quốc gia năm 2020 2021 sở GD ĐT Hưng Yên

  • Đề HSG Toán 12

Thông tin về đề thi chọn đội tuyển HSG Toán Quốc gia sở GD&ĐT Hưng Yên

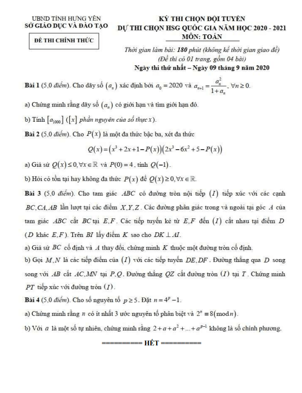
Đề thi chọn đội tuyển HSG Toán Quốc gia năm 2020 – 2021 của sở GD&ĐT Hưng Yên được tổ chức với hai bài thi khác nhau. Bài thi đầu tiên bao gồm 04 bài toán và thời gian làm bài là 180 phút. Bài thi thứ hai có 03 bài toán và cũng có thời gian làm bài là 180 phút. Kỳ thi sẽ diễn ra trong hai ngày 09 và 10 tháng 09 năm 2020. Đây là cơ hội quan trọng để các học sinh thể hiện khả năng và kiến thức của mình trong môn Toán, từ đó chinh phục được vị trí trong đội tuyển HSG Toán Quốc gia.

Đánh giá bài viết cho thầy/cô vui 

0 / 5 0

Your page rank:

Avatar of Phan Quang
       

Về tác giả : Phan Quang

Giáo viên Toán học xuất sắc, sinh năm 1985 tại Hà Nội. Tốt nghiệp Đại học Sư phạm Hà Nội với bằng cử nhân Toán học, thầy có hơn 10 năm kinh nghiệm giảng dạy cấp 2 và ôn thi vào 10. Năm 2024, thầy sáng lập website daygioi.com – nền tảng giáo dục trực tuyến miễn phí, cung cấp bài giảng video, bài tập tương tác và tài liệu ôn tập cho hàng ngàn học sinh Việt Nam. Với phong cách dạy gần gũi, sáng tạo, thầy luôn khơi dậy niềm đam mê Toán học qua ví dụ đời thường. Được phụ huynh và học sinh yêu mến, thầy là nguồn cảm hứng cho thế hệ giáo viên trẻ.

       

Xem nhiều bài của tác giả : Phan Quang