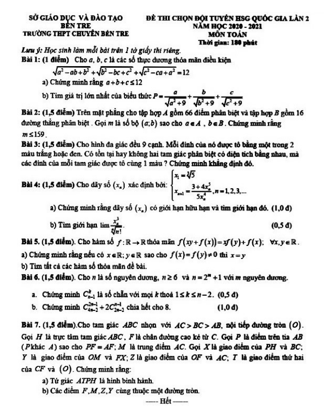
Đề chọn đội tuyển thi HSG Toán Quốc gia 2020 2021 trường chuyên Bến Tre (lần 2)

  • Đề HSG Toán 12

Thử thách của Đề chọn đội tuyển thi HSG Toán Quốc gia 2020 – 2021 trường chuyên Bến Tre (lần 2)

Đề chọn đội tuyển thi HSG Toán Quốc gia 2020 – 2021 trường chuyên Bến Tre (lần 2) không hề đơn giản với nhiều bài toán dạng tự luận đầy thách thức. Trên một trang giấy, học sinh phải đối mặt với 07 bài toán phức tạp và phải giải quyết chúng trong thời gian giới hạn là 180 phút, không tính thời gian phát đề.

Một trong những bài toán khó nhằn trong đề là về việc chứng minh rằng số bộ (a;b) sao cho a thuộc tập hợp A và b thuộc tập hợp B không vượt quá 159. Đây là một thách thức lớn đối với các thí sinh, đòi hỏi họ phải sử dụng kiến thức toán học một cách linh hoạt và logic.

Bài toán khác đề cập đến việc tìm hai tam giác phân biệt có diện tích bằng nhau, mà các đỉnh của mỗi tam giác được tô cùng một màu trên hình đa giác đều 9 cạnh. Đây là một bài toán yêu cầu sự sáng tạo và tư duy logic cao từ phía học sinh để có thể giải quyết được.

Ngoài ra, bài toán về hàm số f cũng đưa ra một thách thức đáng kể, yêu cầu học sinh chứng minh một số tính chất và tìm ra tất cả các hàm số thỏa mãn đề bài. Đây là một bài toán đòi hỏi sự tỉ mỉ và kiên nhẫn trong việc suy luận và giải quyết vấn đề.

Với những thách thức và bài toán đa dạng, Đề chọn đội tuyển thi HSG Toán Quốc gia 2020 – 2021 trường chuyên Bến Tre (lần 2) thực sự là một cơ hội để các thí sinh thể hiện tài năng toán học của mình và phấn đấu để đạt kết quả cao trong kỳ thi sắp tới.

Đánh giá bài viết cho thầy/cô vui 

0 / 5 0

Your page rank:

Avatar of Phan Quang
       

Về tác giả : Phan Quang

Giáo viên Toán học xuất sắc, sinh năm 1985 tại Hà Nội. Tốt nghiệp Đại học Sư phạm Hà Nội với bằng cử nhân Toán học, thầy có hơn 10 năm kinh nghiệm giảng dạy cấp 2 và ôn thi vào 10. Năm 2024, thầy sáng lập website daygioi.com – nền tảng giáo dục trực tuyến miễn phí, cung cấp bài giảng video, bài tập tương tác và tài liệu ôn tập cho hàng ngàn học sinh Việt Nam. Với phong cách dạy gần gũi, sáng tạo, thầy luôn khơi dậy niềm đam mê Toán học qua ví dụ đời thường. Được phụ huynh và học sinh yêu mến, thầy là nguồn cảm hứng cho thế hệ giáo viên trẻ.

       

Xem nhiều bài của tác giả : Phan Quang