Đề chọn đội tuyển lớp 11 môn Toán năm 2022 2023 trường THPT Chu Văn An Hà Nội

  • Đề HSG Toán 11

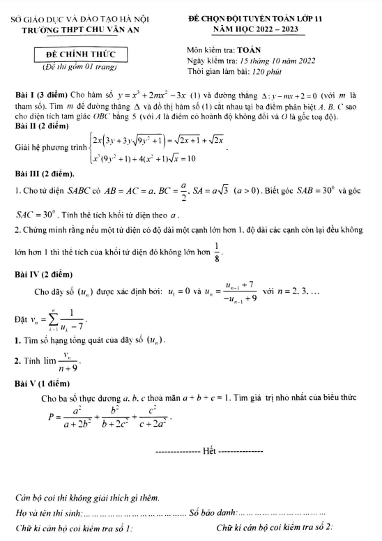
Thông báo về đề chọn đội tuyển Toán lớp 11 năm 2022 – 2023

Xin chào quý thầy, cô giáo và các em học sinh lớp 11, đây là thông báo về đề chọn đội tuyển học sinh giỏi môn Toán lớp 11 năm học 2022 -2023 trường THPT Chu Văn An, thành phố Hà Nội. Kỳ thi sẽ diễn ra vào ngày 15 tháng 10 năm 2022.

Trích dẫn một số câu hỏi trong đề chọn đội tuyển Toán lớp 11 năm 2022 – 2023 trường THPT Chu Văn An – Hà Nội:

  1. Cho hàm số y = x³ + 2mx² – 3x và đường thẳng d: y – mx + 2 = 0 (với m là tham số). Tìm m sao cho đường thẳng d cắt đồ thị hàm số tại ba điểm phân biệt A, B, C sao cho diện tích tam giác OBC bằng 5 (với A là điểm có hoành độ không đổi và O là gốc toạ độ).
  2. Cho tứ diện SABC có AB = AC = a, BC = a/2, SA = a³ (a > 0). Biết góc SAB = 30 độ và góc SAC = 30 độ. Tính thể tích khối tứ diện theo a.
  3. Chứng minh rằng nếu một tứ diện có độ dài một cạnh lớn hơn 1, độ dài các cạnh còn lại đều không lớn hơn 1 thì thể tích của khối tứ diện đó không lớn hơn 1/8.

Chúc quý thầy, cô giáo và các em học sinh lớp 11 tìm hiểu và ôn tập tốt để có kết quả xuất sắc trong kỳ thi đội tuyển môn Toán năm 2022 – 2023. Xin cảm ơn!

Đánh giá bài viết cho thầy/cô vui 

0 / 5 0

Your page rank:

Avatar of Phan Quang
       

Về tác giả : Phan Quang

Giáo viên Toán học xuất sắc, sinh năm 1985 tại Hà Nội. Tốt nghiệp Đại học Sư phạm Hà Nội với bằng cử nhân Toán học, thầy có hơn 10 năm kinh nghiệm giảng dạy cấp 2 và ôn thi vào 10. Năm 2024, thầy sáng lập website daygioi.com – nền tảng giáo dục trực tuyến miễn phí, cung cấp bài giảng video, bài tập tương tác và tài liệu ôn tập cho hàng ngàn học sinh Việt Nam. Với phong cách dạy gần gũi, sáng tạo, thầy luôn khơi dậy niềm đam mê Toán học qua ví dụ đời thường. Được phụ huynh và học sinh yêu mến, thầy là nguồn cảm hứng cho thế hệ giáo viên trẻ.

       

Xem nhiều bài của tác giả : Phan Quang