Đề chọn đội tuyển HSG môn Toán năm 2022 2023 sở GD ĐT Đắk Nông

  • Đề HSG Toán 12

Thông báo về đề thi chọn đội tuyển HSG môn Toán năm 2022-2023

Xin chào quý thầy cô và các em học sinh lớp 12! Sytu xin giới thiệu đến mọi người đề thi chọn đội tuyển học sinh giỏi môn Toán năm học 2022-2023 của Sở Giáo dục và Đào tạo tỉnh Đắk Nông.

Đề thi bao gồm các câu hỏi sau:

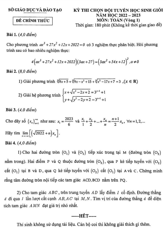
  1. Cho phương trình ax^3 + 27x^2 + 12x + 2022 = 0 có 3 nghiệm thực phân biệt. Hỏi phương trình sau có bao nhiêu nghiệm thực: 4(ax^3 + 27x^2 + 12x + 2022)(3ax + 27) = (3ax^2 + 54x + 12)^2 với a khác 0.

  2. Cho hai đường tròn (O1) và (O2) tiếp xúc trong tại M (đường tròn (O2) nằm trong). Hai điểm P và Q thuộc đường tròn (O2), qua P kẻ tiếp tuyến với (O2) cắt (O1) tại B và D, qua Q kẻ tiếp tuyến với (O2) cắt (O1) tại A và C. Chứng minh rằng tâm đường tròn nội tiếp các tam giác ACD, BCD nằm trên PQ.

  3. Cho tam giác ABC, trên trung tuyến AD lấy điểm I cố định. Đường thẳng d đi qua I lần lượt cắt cạnh AB, AC tại M, N. Tìm vị trí của đường thẳng d để diện tích tam giác AMN đạt giá trị nhỏ nhất.

Hãy chuẩn bị tinh thần và kiến thức tốt để tham gia vào cuộc thi chọn đội tuyển HSG môn Toán. Chúc quý thầy cô và các em đạt kết quả cao trong kỳ thi sắp tới!

Đánh giá bài viết cho thầy/cô vui 

0 / 5 0

Your page rank:

Avatar of Phan Quang
       

Về tác giả : Phan Quang

Giáo viên Toán học xuất sắc, sinh năm 1985 tại Hà Nội. Tốt nghiệp Đại học Sư phạm Hà Nội với bằng cử nhân Toán học, thầy có hơn 10 năm kinh nghiệm giảng dạy cấp 2 và ôn thi vào 10. Năm 2024, thầy sáng lập website daygioi.com – nền tảng giáo dục trực tuyến miễn phí, cung cấp bài giảng video, bài tập tương tác và tài liệu ôn tập cho hàng ngàn học sinh Việt Nam. Với phong cách dạy gần gũi, sáng tạo, thầy luôn khơi dậy niềm đam mê Toán học qua ví dụ đời thường. Được phụ huynh và học sinh yêu mến, thầy là nguồn cảm hứng cho thế hệ giáo viên trẻ.

       

Xem nhiều bài của tác giả : Phan Quang