Chuyên đề hàm số và đồ thị ôn thi vào môn Toán Nguyễn Đăng Tuấn

  • Tài liệu thi vào lớp 10

Chuyên Đề Hàm Số Và Đồ Thị Ôn Thi Toán Lớp 10 – Nguyễn Đăng Tuấn

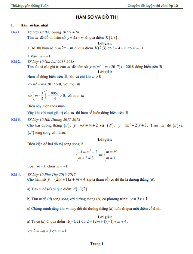
Tài liệu “Chuyên đề hàm số và đồ thị ôn thi vào lớp 10 môn Toán” được biên soạn bởi Thạc sĩ Nguyễn Đăng Tuấn với 52 trang, bao gồm 105 bài tập chuyên đề hàm số và đồ thị ôn thi vào môn Toán. Mỗi bài tập đều có đáp án và lời giải chi tiết, giúp học sinh hiểu rõ từng bước giải quyết vấn đề.

Qua tài liệu này, bạn sẽ được hướng dẫn giải các bài tập như:

  • Đặt hàm số y = mx + m^2 – 1/4 (trong đó m là tham số) có đồ thị là đường thẳng (d). Hỏi m nào thì (d) đi qua điểm A(-1;2)?
  • Xác định giá trị của m sao cho đường thẳng (d) song song với đường thẳng (Δ) có phương trình y = x + 5/1.
  • Chứng minh rằng đường thẳng (d) luôn đi qua một điểm cố định khi m thay đổi.

Ngoài ra, tài liệu còn cung cấp các bài tập khác như tìm tọa độ giao điểm của hai đồ thị, tính diện tích của tứ giác được tạo bởi hai đồ thị, xác định điểm cắt của đồ thị với đường thẳng, và nhiều bài tập khác giúp học sinh ôn luyện và nắm vững kiến thức hàm số và đồ thị.

Để biết thêm thông tin chi tiết, vui lòng tải tài liệu và tham khảo để đạt kết quả cao trong kỳ thi Toán sắp tới!

Đánh giá bài viết cho thầy/cô vui 

0 / 5 0

Your page rank:

Avatar of Phan Quang
       

Về tác giả : Phan Quang

Giáo viên Toán học xuất sắc, sinh năm 1985 tại Hà Nội. Tốt nghiệp Đại học Sư phạm Hà Nội với bằng cử nhân Toán học, thầy có hơn 10 năm kinh nghiệm giảng dạy cấp 2 và ôn thi vào 10. Năm 2024, thầy sáng lập website daygioi.com – nền tảng giáo dục trực tuyến miễn phí, cung cấp bài giảng video, bài tập tương tác và tài liệu ôn tập cho hàng ngàn học sinh Việt Nam. Với phong cách dạy gần gũi, sáng tạo, thầy luôn khơi dậy niềm đam mê Toán học qua ví dụ đời thường. Được phụ huynh và học sinh yêu mến, thầy là nguồn cảm hứng cho thế hệ giáo viên trẻ.

       

Xem nhiều bài của tác giả : Phan Quang