Câu 1, 2, 3 trang 72 vở bài tập Toán học 2 tập 1: Nối phép tính với kết quả của phép tính đó

1.Đặt tính rồi tính. Câu 1, 2, 3 trang 72 Vở bài tập (SBT) Toán học 2 tập 1 – Bài 63. 15 16, 17, 18 trừ đi một số

1.Đặt tính rồi tính:

a) 15 – 9             15 – 7                 15 – 8                  15 – 6

b) 16 – 7             16 – 9                 16 – 8                 17 – 8

c) 17 – 9             18 – 9                 18 – 8                 17 – 10 

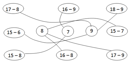
2. Nối phép tính với kết quả của phép tính đó:

20171118001602bai 63 2 1 

3. Tô màu xanh vào các hình tam giác, tô màu đỏ vào hoặc màu vàng vào các hình tứ giác sao cho ba hình đặt kề nhau thì có ba màu khác nhau:

20171118001602bai 63 hinh 1 vbt toan lop 2 tap 1 

BÀI GIẢI

1.

20171118001602bai 63 4                                         

2. 

20171118001602bai 63 5 

3.

20171118001602bai 63 hinh 2 vbt toan lop 2 tap 1 

Đánh giá bài viết cho thầy/cô vui 

0 / 5 0

Your page rank:

Avatar of Phan Quang
       

Về tác giả : Phan Quang

Giáo viên Toán học xuất sắc, sinh năm 1985 tại Hà Nội. Tốt nghiệp Đại học Sư phạm Hà Nội với bằng cử nhân Toán học, thầy có hơn 10 năm kinh nghiệm giảng dạy cấp 2 và ôn thi vào 10. Năm 2024, thầy sáng lập website daygioi.com – nền tảng giáo dục trực tuyến miễn phí, cung cấp bài giảng video, bài tập tương tác và tài liệu ôn tập cho hàng ngàn học sinh Việt Nam. Với phong cách dạy gần gũi, sáng tạo, thầy luôn khơi dậy niềm đam mê Toán học qua ví dụ đời thường. Được phụ huynh và học sinh yêu mến, thầy là nguồn cảm hứng cho thế hệ giáo viên trẻ.

       

Xem nhiều bài của tác giả : Phan Quang