Câu 1
Tính nhẩm.


Tính nhẩm dựa vào bảng nhân đã học.


Câu 2
Tô màu vào những đám mây ghi phép tính có kết quả bé hơn 7.


– Bước 1: Tính nhẩm dựa vào bảng chia đã học.
– Bước 2: Tô màu những đám mây ghi phép tính có kết quả bé hơn 7.

28 : 7 = 4 48 : 8 = 6
35 : 5 = 7 72 : 9 = 8
45 : 9 = 5
Những phép tính có kết quả bé hơn 7 là:
28 : 7 ; 45 : 9 ; 48 : 8

Câu 3
Số?


– Để tìm thừa số ta lấy tích chia cho thừa số kia.
– Để tìm số bị chia ta lấy thương nhân với số chia.
– Để tìm số chia ta lấy số bị chia chia cho thương.


Câu 4
Mai xếp mỗi bàn 6 cái li và xếp 8 bàn như vậy. Hỏi Mai xếp tất cả bao nhiêu cái li?

Số cái li Mai xếp = Số cái li mỗi bàn x Số cái bàn

Tóm tắt:
1 bàn: 6 cái
8 bàn: ….. cái?
Bài giải
Mai xếp tất cả số cái li là
6 x 8 = 48 (cái li)
Đáp số: 48 cái li
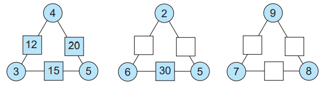
Câu 5
Số ?


Bước 1: Quan sát ta nhận thấy quy luật: Trên mỗi cạnh của tam giác, tích của hai số trong hình tròn chính bằng số trong hình vuông.
Bước 2: Tính nhẩm để điền số thích hợp vào ô trống.

Quan sát ta nhận thấy quy luật: Trên mỗi cạnh của tam giác, tích của hai số trong hình tròn chính bằng số ở giữa.
Ta điền như sau:
