1. Rút gọn các phân số:
(eqalign{
& {{21} over 8} = …,,,,,,,,,,{9 over {36}} = … cr
& {{18} over {54}} = …,,,,,,,,,,{{30} over {48}} = … cr
& {{90} over {72}} = …,,,,,,,,,,{{72} over {42}} = … cr} )
2. Khoanh vào những phân số bằng ({3 over 4}):
({9 over {12}},,,,,,,,,{{15} over {16}},,,,,,,,,,,{{15} over {20}},,,,,,,,,,,{{18} over {25}},,,,,,,,,,,,,{{18} over {24}})
3. Khoanh vào những phân số bằng ({{25} over {100}}):
({5 over {20}},,,,,,,,,,,,,,{{15} over {65}},,,,,,,,,,,,,,,,{3 over {12}},,,,,,,,,,,,,,,,,,{8 over 2},,,,,,,,,,,,,,,,,,,{{20} over {80}})
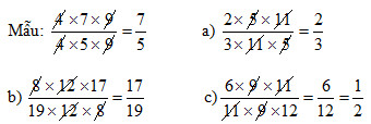
4. Tính theo mẫu:
Mẫu: 
a) ({{2 times 5 times 11} over {3 times 11 times 5}} = ….)
b) ({{8 times 12 times 17} over {19 times 12 times 8}} = …)
c) ({{6 times 9 times 11} over {11 times 9 times 12}} = …..)
5. Đúng ghi Đ, sai ghi S:


1.
(eqalign{
& {{21} over 8} = {3 over 4},,,,,,,,,,,,,,,,{9 over {36}} = {1 over 4} cr
& {{18} over {54}} = {1 over 3},,,,,,,,,,,,,,,,{{30} over {48}} = {5 over 8} cr
& {{90} over {72}} = {5 over 4},,,,,,,,,,,,,,,{{72} over {42}} = {{12} over 7} cr} )
2.

3.

4.

5.
