Bộ đề thi thử vào môn Toán năm 2018 trường Chu Văn An Sơn La

  • Đề thi vào lớp 10

Bộ đề thi thử môn Toán năm 2018 trường Chu Văn An Sơn La

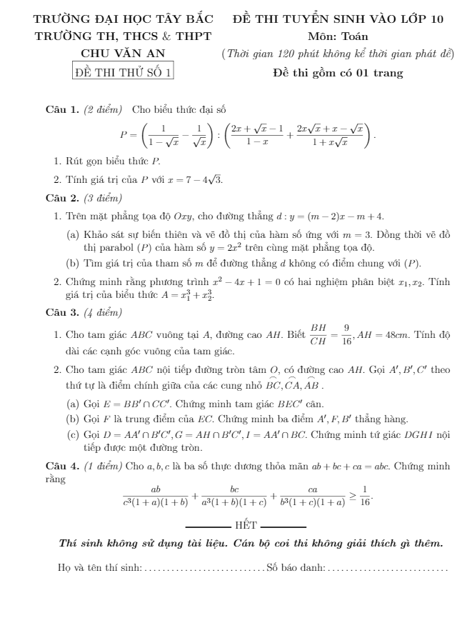
Bộ đề thi thử môn Toán năm 2018 của trường TH, THCS & THPT Chu Văn An – Đại học Tây Bắc – Sơn La bao gồm 12 trang với tổng cộng 12 đề thi. Các đề thi trong bộ đề được biên soạn theo hình thức tự luận, nhằm giúp học sinh lớp 9 ôn tập và rèn luyện môn Toán để chuẩn bị cho kỳ thi vào lớp 10. Bộ đề thi này sẽ giúp học sinh làm quen với cấu trúc và kiểu dạng câu hỏi được đặt ra trong kỳ thi chính thức, từ đó nâng cao khả năng giải quyết vấn đề và tính logic trong giải các bài toán Toán.

Đánh giá bài viết cho thầy/cô vui 

0 / 5 0

Your page rank:

Avatar of Phan Quang
       

Về tác giả : Phan Quang

Giáo viên Toán học xuất sắc, sinh năm 1985 tại Hà Nội. Tốt nghiệp Đại học Sư phạm Hà Nội với bằng cử nhân Toán học, thầy có hơn 10 năm kinh nghiệm giảng dạy cấp 2 và ôn thi vào 10. Năm 2024, thầy sáng lập website daygioi.com – nền tảng giáo dục trực tuyến miễn phí, cung cấp bài giảng video, bài tập tương tác và tài liệu ôn tập cho hàng ngàn học sinh Việt Nam. Với phong cách dạy gần gũi, sáng tạo, thầy luôn khơi dậy niềm đam mê Toán học qua ví dụ đời thường. Được phụ huynh và học sinh yêu mến, thầy là nguồn cảm hứng cho thế hệ giáo viên trẻ.

       

Xem nhiều bài của tác giả : Phan Quang