Bài toán chứa tham số trong phương trình bậc hai

  • Tài liệu Toán 9

Bài toán chứa tham số trong phương trình bậc hai

Tài liệu này bao gồm 38 trang, cung cấp hướng dẫn chi tiết về cách giải bài toán chứa tham số trong phương trình bậc hai. Được thiết kế để hỗ trợ học sinh trong quá trình học chương trình Đại số lớp 9 và ôn thi tuyển sinh vào lớp 10 môn Toán.

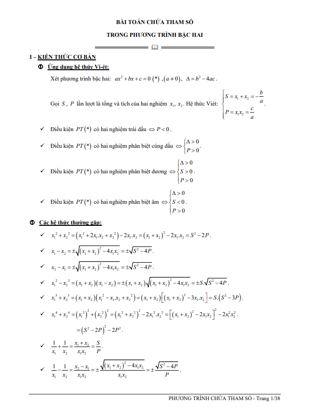
I – KIẾN THỨC CƠ BẢN

1. Trình bày ứng dụng của hệ thức Vi-ét trong việc giải phương trình bậc hai.

– Phân tích các trường hợp đặc biệt khi phương trình bậc hai có hai nghiệm trái dấu, cùng dấu, dương hoặc âm.

2. Liệt kê các hệ thức thường gặp khi giải bài toán chứa tham số trong phương trình bậc hai.

II – CÁC VÍ DỤ MINH HỌA

Bao gồm 77 ví dụ minh họa, từ dễ đến khó, đi kèm đáp án và lời giải chi tiết để học sinh có thể hiểu rõ cách giải từng bước một.

Đánh giá bài viết cho thầy/cô vui 

0 / 5 0

Your page rank:

Avatar of Phan Quang
       

Về tác giả : Phan Quang

Giáo viên Toán học xuất sắc, sinh năm 1985 tại Hà Nội. Tốt nghiệp Đại học Sư phạm Hà Nội với bằng cử nhân Toán học, thầy có hơn 10 năm kinh nghiệm giảng dạy cấp 2 và ôn thi vào 10. Năm 2024, thầy sáng lập website daygioi.com – nền tảng giáo dục trực tuyến miễn phí, cung cấp bài giảng video, bài tập tương tác và tài liệu ôn tập cho hàng ngàn học sinh Việt Nam. Với phong cách dạy gần gũi, sáng tạo, thầy luôn khơi dậy niềm đam mê Toán học qua ví dụ đời thường. Được phụ huynh và học sinh yêu mến, thầy là nguồn cảm hứng cho thế hệ giáo viên trẻ.

       

Xem nhiều bài của tác giả : Phan Quang