Giải bài 1 trang 54 SGK Toán lớp 3 sách Chân trời sáng tạo tập 1 – Bài Phép chia hết và phép chia có dư

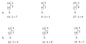
Tính (theo mẫu)

a) 14 : 2 b) 12 : 4
9 : 3 32 : 4
27 : 3 35 : 5

Thực hiện phép chia theo thứ tự từ trái sang phải.


Tính (theo mẫu)

a) 14 : 2 b) 12 : 4
9 : 3 32 : 4
27 : 3 35 : 5

Thực hiện phép chia theo thứ tự từ trái sang phải.
