Hướng dẫn giải bài 1, 2, 3, 4 trang 29, 30 SGK Toán lớp 2 Kết nối tri thức tập 2 – Bài 45 Luyện tập chung
Bài 1. a) Tìm bông hoa cho ong đậu.

b) Bông hoa nào có nhiều ong đậu nhất?

a) Ta có:
5 × 2 = 10 50 : 5 = 10 5 : 5 = 1
20 : 2 = 10 2 × 5 = 10 2 : 2 = 1
10 : 5 = 2 4 : 2 = 2
Vậy mỗi con ong đậu vào bông hoa tương ứng như sau:

b) Dựa vào kết quả ở câu a ta thấy:
– Có 4 con ong đậu ở bông hoa ghi số 10.
– Có 2 con ong đậu ở bông hoa ghi số 1.
– Có 2 con ong đậu ở bông hoa ghi số 2.
Mà: 4 > 2.
Vậy bông hoa ghi số 10 có nhiều ong đậu nhất.
Bài 2. Số?
a)
2 × ? = 2
? × 1 = 5
b)
5 : ? = 1
? : 2 = 1

a)
2 × 1 = 2
5 × 1 = 5
b)
5 : 5 = 1
2 : 2 = 1
Bài 3. Số?


a) Ta có: 4 : 2 = 2 ;
2 × 1 = 2 ; 2 × 6 =12.
Vậy ta có kết quả như sau:

b) Ta có: 50 : 5 = 10 ;
10 : 2 = 5 ; 5 × 4 = 20.
Vậy ta có kết quả như sau:

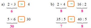
Bài 4. >; <; =


