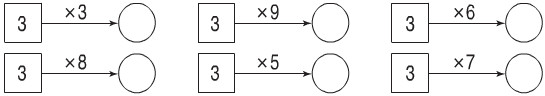
Bài 1: Số ?

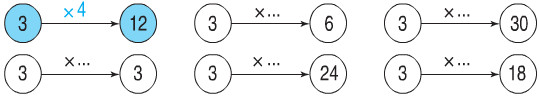
Bài 2: Viết số thích hợp vào chỗ chấm (theo mẫu)

Bài 3: Mỗi can đựng 3l dầu. Hỏi 5 can như thế đựng được bao nhiêu lít dầu ?

Bài 4: Mỗi túi có 3kg gạo. Hỏi 8 túi như thế có tất cả bao nhiêu ki-lô-gam gạo ?

Bài 5: Số ?
a) 3; 6; 9 ;…;….
b)10 ; 12 ; 14; …;….
c) 21 ;24; 27;….;….
Bài 1:

Bài 2:

Bài 3:
Số lít dầu đựng tròn 5 can là:
3 x 5 = 15 (l)
Đáp số: 15 l
Bài 4:
Số gạo có trong 8 túi là:
3 x 8 = 24 (kg)
Đáp số: 24 kg
Bài 5:
a) 3; 6; 9 ;12; 15
b)10 ; 12 ; 14; 16; 18
c) 21 ;24; 27;30;33
