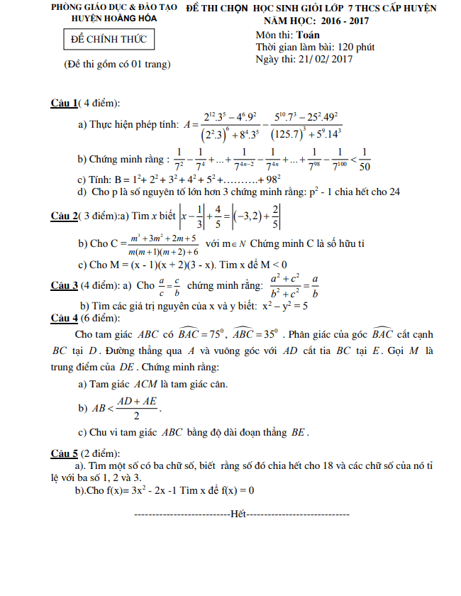
Câu 1. Hãy tả lại bức tranh Bác Hồ của bạn nhỏ trong bài thơ.
Bạn nhỏ vẽ tranh Bác Hồ với vầng trán cao, với tóc râu vờn nhẹ. Bác đang bế trên tay cháu Bắc và cháu Nam. Theo sau Bác là một đoàn thiếu nhi mang khăn quàng đỏ thắm. Trên đầu Bác là bầu trời xanh có chim bồ câu trắng tượng trưng cho hoà bình đang bay lượn. Phía dưới bức tranh, bạn nhỏ đề dòng chữ : “Đời đời ơn Bác”.
Câu 2. Theo em, những hình ảnh sau có ý nghĩa gì ?

a) Bác Hồ bế hai cháu Bắc, Nam trên tay.
– Hình ảnh Bác Hồ bế hai cháu Bắc, Nam trên tay tỏ ý Bác yêu thương cả hai miền Nam, Bắc, vì cả hai miền đều là của Tố quốc.
b) Thiếu nhi theo bước Bác Hồ.
– Hình ảnh thiếu nhi theo bước Bác Hồ có ý nghĩa như sau : các thế hệ con, cháu đang tiến theo chân Bác, học tập đạo đức và tác phong của Bác, đi theo con đường Bác đã vạch ra.
c) Chim trắng bay trên nền trời xanh :
– Hình ảnh này có ý nghĩa như sau : Bác rất yêu hoà bình, Bác lãnh đạo nhân dân ta đánh Pháp, đuổi Mĩ để đất nước ta có một nền hoà bình lâu dài, có một cuộc sống độc lập, tự do, hạnh phúc.
Câu 3. Em biết những tranh ảnh, tượng hay bài hát nào về Bác Hồ.
: Em biết tranh Bác Hồ treo trên tấm bảng đen trong lớp. Em biết tượng Bác Hồ trong nhà văn hóa lao động thành phố. Em nhớ bài hát “Em mơ gặp Bác Hồ”, như có Bác Hồ trong ngày vui đại thắng…




